
미래 항공 모빌리티용 온도 보상형 LFP 배터리의 LSTM 기반 상태 모니터링 시스템
초록
최근 항공 모빌리티 산업이 빠르게 성장하며, 항공기 및 무인 항공체에 적용되는 배터리 시스템의 안정성과 신뢰성이 핵심 요소로 떠오르고 있다. 본 논문에서는 방열판 및 열전도판을 기반한 하이브리드 열관리 구조가 적용된 온도 보상형 LFP 배터리 시스템을 대상으로, LSTM 기반 SOC 및 SOH 추정 알고리즘을 제안한다. SOC 추정 알고리즘은 전압, 전류, 온도, 적산 전하량을 기반으로 SOC 값을 추정하고 SOH 추정 알고리즘은 SOC 추정 단계에서 예측된 SOC 값을 기존 변수들과 함께 알고리즘의 입력으로 사용하여 배터리의 열화 상태를 추정하는 구조를 가진다. 시뮬레이션 결과, 제안한 LSTM 기반 추정 알고리즘은 다양한 열화 수준에 대해 안정적인 SOC 및 SOH 추정 성능을 보였음을 확인할 수 있었다.
Abstract
With the rapid growth of the aviation mobility industry, the stability and reliability of battery systems applied to aircraft and unmanned aerial vehicles have emerged as key factors. This study proposes an LSTM-based SOC and SOH estimation algorithm for a temperature-compensated LFP battery system with a hybrid thermal management structure based on heat sinks and heat conduction plates. The SOC estimation algorithm estimates the SOC value based on voltage, current, temperature, and accumulated charge, and the SOH estimation algorithm has a structure in which the SOC predicted in the SOC estimation stage is used as an input to the algorithm together with the existing variables to estimate the battery degradation state. Simulation results confirm that the proposed LSTM-based estimation algorithm shows stable SOC and SOH estimation performance across various degradation levels.
Keywords:
LFP batteries, state of charge, state of health, long short term memory, estimationⅠ. 서 론
전 세계 항공 산업은 전기 추진 시스템 도입을 통해 지속적인 패러다임 전환을 진행 중이다. 이러한 흐름 속에서 전기 항공기 및 무인 항공체(UAV) 시장은 중장기적으로 지속적인 상승세가 예상되며, 이에 따라 항공 분야 전반에서 전기화 기술에 대한 연구가 확대되고 있다[1]-[3]. 그 예로 전기수직이착륙기(eVTOL)는 도심 항공 모빌리티(UAM)의 핵심 수단으로 주목받고 있으며, 이는 기존 항공기 대비 에너지 저장 및 전력 공급 시스템에 대한 의존도가 높아 배터리 안정성과 신뢰성이 전체 시스템의 운용에 직접적인 영향을 미친다[4]-[6]. 이에 고성능 항전배터리 기술은 전기 항공기 경쟁력 확보를 위한 필수적 기술 요소로 부상하고 있다[7]-[9]. 한편 항전 배터리는 전기 항공기뿐 아니라 군사용 무인기, 감시정찰기 등 국가 안보와 직결된 핵심 부품으로서 그 중요성이 확대되고 있다. 그러나 현재 국내 항공용 배터리 기술은 중국 의존도가 높아 공급망 불안정성과 기술 종속 위험이 대두되고 있다. 이러한 상황에서 차세대 전투기(KF-21) 및 무인 전투기 개발, 북한 드론 위협 대응을 위한 감시정찰 무인기의 성능 고도화를 위해서는 독자적인 항전배터리 기술 확보가 필수적인 과제로 인식되고 있다.
특히 항공 및 군사 응용 환경에서는 열 폭주 위험이 낮고 장기 운용이 가능한 배터리 기술이 요구되며, 이러한 측면에서 리튬 인산철 배터리가 주목받고 있다. 그러나 리튬인산철 배터리는 온도에 매우 민감하여 작동 온도가 성능에 결정적인 영향을 미친다는 근본적 한계를 지니고 있다[10]-[13]. 이러한 온도 민감성은 LFP(Lithium Iron Phosphate) 배터리 실용화에 있어 가장 큰 기술적 장벽으로 작용한다. 배터리 팩 내부의 열관리가 적절히 이루어지지 않을 경우, 과열로 인한 전해질 분해와 양극 재료의 구조적 붕괴가 발생할 수 있으며, SEI 층의 비정상적 성장과 리튬 석출 현상이 유발될 수 있다[14]-[16]. 또한 배터리 팩 내 셀 간 온도 편차가 클 경우, 일부 셀의 열화 속도의 불균일성이 증가하고, 이로 인해 전체 배터리 팩의 용량과 출력이 제한된다[17]. 이에 본 논문에서는 방열판과 열전도판을 기반으로 한 하이브리드 열관리 구조가 적용된 리튬 인산철 배터리 시스템을 제작하여 사용하였다. 이러한 온도 보상형 배터리 시스템의 적용은 배터리 운용 환경의 안전성을 확보하는데 기여하며 이를 바탕으로 배터리의 상태를 보다 신뢰성 있게 추정할 수 있는 조건을 제공한다.
배터리 상태를 정량적으로 표현하기 위한 지표로는 배터리 잔존량(SOC, State of Charge)과 배터리 열화 상태(SOH , State of Health)가 사용된다. 현재 배터리 상태 지표를 추정하기 위해 전류 적분 기반의 쿨롱 카운팅 방식과 칼만 필터를 결합한 모델 기반 추정 기법 등이 활용되고 있다[18][19]. 쿨롱 카운팅 방식은 충, 방전 전류를 적분하여 SOC를 계산하는 방식으로 구현이 간단하다는 이점이 있지만, 장시간 운용 시 센서의 미세한 측정 오차가 누적되어 추정 정확도가 저하되는 한계를 지닌다. 또한 등가회로 모델을 사용하는 칼만 필터 기반 기법은 배터리를 R-C 회로로 모델링하여 측정 노이즈를 필터링하여 상태를 예측할 수 있으나 모델의 정확도에 대한 의존성이 크고 계산 복잡도 및 파라미터의 튜닝 난이도가 높다는 제약이 존재한다.
이러한 한계를 극복하기 위해 최근에는 학습 기반 인공지능 기법을 활용한 배터리 상태 추정 연구가 주목받고 있다. 인공지능 기반 접근 방식은 기존의 물리 모델에 대한 의존도를 낮추고 실제 운용 데이터로부터 상태 간의 비선형적 관계를 학습함으로써 센서 오차 누적이나 모델 불확실성으로 인한 추정 성능 저하 문제를 완화할 수 있다. 이 중 장단기 메모리 신경망(LSTM, Long Short-Term Memory)은 순환 신경망 구조를 기반으로 장기 의존성 학습에 특화된 모델로 과거 상태 정보가 현재 출력에 중요한 영향을 미치는 시계열 배터리 데이터의 특성을 효과적으로 학습할 수 있다.
이에 본 논문에서는 하이브리드 열관리 구조가 적용된 LFP 배터리를 대상으로 비선형 시계열 특성을 학습하는 LSTM 기반 SOC 및 SOH 추정 알고리즘을 적용하여 이를 통해 배터리 상태를 추정하고자 한다.
Ⅱ. 온도 보상형 LFP 배터리
본 논문에서는 ㈜주원에서 특허 출원한 방열판 및 열전도판 기반의 물리적 열관리 시스템 구조가 적용된 리튬 인산철 배터리 시스템을 제작하여 사용하였다[20]. 해당 시스템은 배터리 셀 간 온도 편차를 효과적으로 완화하도록 설계된 온도 보상형 구조를 갖는다. 또한 배터리 관리 시스템(BMS)를 메인 방열판과 일체형으로 결합하고 복수의 배터리 셀 사이마다 열전도판을 배치하여 셀에서 발생하는 열을 신속하게 방열판으로 전달하는 구조를 구현하였고, 이는 외부 온도에 따라 능동적으로 운용하는 셀 밸런싱 방식을 가능하게 한다. 저온 환경에서 또한 패시브 밸런싱을 통한 내부 발열 활용으로 배터리 성능 저하를 최소화하였고 고온 환경에서는 액티브 밸런싱 및 강제 냉각 팬을 작동시켜 온도를 관리하는 방식을 사용하였다. 이러한 열관리 최적화 특성은 본 논문에서 진행한 SOC 및 SOH 추정 알고리즘의 신뢰성을 검증하는데 기여하였다.
그림 1은 본 논문에서 사용한 배터리 팩의 측면 구조를 나타낸다. 복수의 배터리 셀 사이에는 열전도판이 배치되어 있으며 배터리 셀에서 발생하는 열은 열전도판을 통해 메인 방열판으로 전달된다. 메인 방열판은 표면에 다수의 핀 구조를 형성하여 공기와의 접촉 면적을 확대함으로써 대류 열전달 효율을 향상시켰다. 핀 구조는 유효 열 교환 면적을 증가시켜, 배터리 관리 시스템에서 발생하는 열을 보다 신속하게 외부로 방출할 수 있도록 설계되었다.
그림 2는 본 논문에서 사용한 배터리 시스템의 전체 구조를 나타낸다. 메인 방열판 상단에는 배터리 관리 시스템이 일체형으로 부착되어 있으며 각 배터리 셀의 전극이 배터리 관리 시스템과 전기적으로 연결되어 구조적으로 통합된 형태를 가진다. 또한 배터리 온도가 상승할 경우를 대비한 냉각 팬을 케이스 양 측면에 설치함으로서 보다 안정적인 열관리 환경을 유지하게 한다.
물리적 열관리 기술 검증 실험 결과, 동일 충·방전 조건에서 핀 구조가 적용된 방열판을 사용한 경우 셀 표면 최고 온도가 기존보다 낮게 유지되었으며. 배터리 팩 내부의 셀 간 최대 온도 편차는 ±8℃에서 ±2℃수준으로 감소하였다. 이는 핀 구조를 통한 열 확산 및 대류 성능 향상에 기인한 결과로, 약 75% 수준의 온도 편차 저감 효과를 나타낸다. 표 1은 열관리 구조 적용 전·후의 성능을 정량적으로 보여준다.
이와 같은 열 관리 기술의 적용은 배터리 셀 간의 온도 편차와 충방전 과정에서 발생하는 온도 편차를 완화함으로써 상태 추정에 사용되는 전압 및 전류 시계열 데이터의 변동성을 감소시키는 효과를 가진다. 이는 일관된 전기적 응답 특성을 형성하여 LSTM 기반 상태 추정 모델이 비선형 시계열 패턴을 안정적으로 학습하고 추정할 수 있게 한다.
Ⅲ. 실험 환경 및 데이터 수집
본 논문에서 제안하는 LFP 셀 상태 추정 알고리즘의 유효성 검정을 위한 통합 실험 플랫폼의 구조는 그림 3과 같다.
실험 환경은 항온 항습 챔버와 배터리 충.방전 모니터링 시스템으로 구분된다. 충전 및 방전 사이클 전 과정에서 외부 환경 변수를 통제하기 위해 항온 항습 챔버를 사용하였고 상태 모니터링 시스템을 통해 배터리를 충.방전 하며 실시간으로 전압 전류 등의 데이터를 기록하였다. 실험에 사용된 배터리 셀은 그림 4에 제시하였다.
실험은 셀의 가용 전압 범위인 2.6V에서 3.65V 사이를 반복적으로 충.방전 하였으며 이를 통해 배터리의 특성 데이터를 확보하였다. 특히, 20A의 정전류(CC, Constant Current) 부하 조건 하에서 발생하는 미세한 전압 변동을 정밀히 포착하여 배터리 내부 상태 변화를 분석하고자 하였다.
본 논문에서는 배터리의 에너지를 일정한 조건으로 소모시키며 데이터를 얻기 위한 방전 시스템을 구축하였다. 방전 장치로는 ODA사의 LF600-B DC 전자부하기를 사용하였다. 또한 데이터 취득의 신뢰성 극대화를 위해 도선 내부에서 발생하는 기생 저항으로 인한 전압 강하 현상을 배제하기 위해 일반 규격을 상회하는 10mm2 단면적 고사양 케이블을 사용하여 실시간 데이터 수집의 정밀도와 일관성을 확보하였다. 방전 방식은 CC 모드이며 종료 기준은 배터리 전압 기준과 시간 기준으로 설정하였다. 전압이 2.6V에 도달하거나 배터리 셀의 105Ah 용량을 고려하여 이론적으로 계산한 시간 기준인 20,000초가 지나면 강제 종료되도록 하여 실험의 안정성을 보장하였다. 방전이 진행되는 동안 전압 전류 전력 데이터가 실시간으로 모니터링되며 시험 종료 후 로그 파일로 자동 저장되도록 설정하였다.
그림 5은 수집된 데이터 중 cycle 2의 전압, 전류, 온도의 방전 그래프이다.
앞서 언급한 방전 시스템을 기반으로, 본 연구에서는 다수의 충방전 사이클을 수행하였으며 표 2는 충 방전 사이클에 따른 전기적 특성 변동을 나타낸다.
Ⅳ. 제안한 SOC 및 SOH 추정 알고리즘
그림 6은 제안한 SOC 및 SOH 추정 알고리즘의 전체 구조를 나타낸다. 방전 실험을 통해 획득한 전압(V), 전류(C), 온도(Temp), 계산된 누적 전하량(Qcalculated)의 총 4가지 변수를 LSTM 기반 SOC 추정 모델의 입력으로 사용하였다. 추정된 SOC 값 기존의 네 가지 입력 변수와 함께 SOH 추정 모델의 입력으로 사용된다.
SOH 모델로부터 추정된 값은 상태 기준에 따라 normal 또는 caution 상태인지를 분류한다.
SOC는 배터리의 전체 용량 대비 잔존 용량을 의미하며, 충전 상태를 나타내는 지표이다[19]. 본 연구에서는 방전 전류를 시간에 대해 적분한 누적 전하량을 총 방전 전하량 Cinitial로 정규화하여 계산하였으며, 이는 식 (1)으로 표현된다.
| (1) |
SOH는 주어진 제품의 공칭용량인 CFresh 대비 각 cycle의 잔존 용량인 CCurrent로 산출되며 배터리의 열화 상태를 나타내는 지표로 사용된다[20]. 이는 식 (2)와 같다.
| (2) |
4.1 Long short-term memory
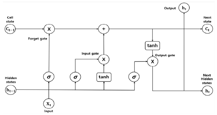
LSTM은 기존 순환 신경망(RNN)에서 발생하는 장기 의존성 문제를 해결하기 위한 딥러닝 모델로, 전체 구조는 그림 7과 같다[21]. LSTM은 장기기억을 유지하는 경로와 단기 기억을 처리하는 경로로 구성된다. 장기기억 경로는 시계열의 중요한 정보를 유지하는 역할을 하며, cell-state를 통해 관리된다.
이러한 동작 방식은 비선형적 시계열 특성을 내포하고 있는 LFP 배터리의 메커니즘을 학습하는데 효과적이다. LSTM 모델은 cell-state와 forget gate, input gate, output gate로 구성되며, 배터리 데이터의 미세한 변화에서 이전의 방전 이력을 cell state에 누적하여 현재 데이터의 이상 범주를 확인한다. 또한 데이터 수집 과정 중 발생하는 노이즈나 불필요한 정보는 forget gate를 통해 제거하고 유의미한 특징들만을 사용하여 학습함으로써 진단의 정밀도를 향상시킬 수 있다는 장점이 있다.
본 논문에서 제안한 SOC 추정 모델과 SOH 추정 모델은 동일한 LSTM 네트워크 구조를 사용한다. LSTM 모델은 64개의 노드를 가진 단일 계층으로 구성하였으며, LSTM 단일 계층의 출력은 두 개의 fully-connected layer에 입력된다. 각 계층의 노드 수는 각각 64개와 32개로 설정하였다.
학습 알고리즘으로는 Adam을 사용하였으며, 학습률은 Adam 알고리즘의 기본값인 0.001로 설정하였다. 학습 Epoch은 1000으로 설정하였으며 손실 함수로는 평균 제곱 오차(MAE, Mean Absolute Error)를 사용하였다.
Ⅴ. 컴퓨터 시뮬레이션 결과
본 논문에서는 총 40개의 cycle을 사용하였으며, 이 중 26개 cycle을 train group, 4개 cycle을 validation group, 그리고 10개 cycle을 test group으로 구성하였다. SOH 값이 100–98% 범위에 해당하는 경우를 normal 상태로, 97–90% 범위에 해당하는 경우를 caution 상태로 정의하였다.
5.1 파라미터 설정
본 논문에서는 LSTM 기반 SOC 및 SOH 추정 모델의 성능을 최대화하기 위해, 주요 파라미터인 윈도우 길이에 대한 비교 분석을 수행하였다. 윈도우 길이는 LSTM 모델이 과거 정보를 참조하는 범위를 결정하는 요소로, 모델의 추정 성능에 직접적인 영향을 미친다.
본 논문에서는 세 가지 윈도우 길이 5, 10, 15에 대해 비교 분석을 수행하였으며, validation group을 이용하여 각 조건에서의 추정 성능을 비교하였다. 성능 평가 지표로는 MAE와 RMSE(Root Mean Square Error) 값을 사용하였다. SOC 추정 성능 비교 결과는 표 3에, SOH 추정 성능 비교 결과는 표 4에 각각 제시하였다.
최종 윈도우 길이는 SOH 추정 성능을 기준으로 수행하였다. 표 3에 제시된 바와 같이 윈도우 길이 10이 SOC 추정 성능 비교에서 평균 MAE가 0.13%, 평균 RMSE가 0.16%로 가장 낮았으며, SOH 추정 성능 비교에서도 MAE가 0.31%, RMSE가 0.37%로 가장 낮은 오차를 기록하였다. 이는 상대적으로 짧은 윈도우 길이 5와 긴 윈도우 길이 15의 경우 배터리 열화 특성을 충분히 반영하지 못하여 성능 저하가 발생한 것으로 볼 수 있다.
따라서 본 논문에서는 SOH 추정 성능이 가장 우수한 윈도우 길이 10을 LSTM 모델에 적용하여 실험을 수행하였다.
5.2 SOC 추정 시뮬레이션 결과
그림 8은 test group에 포함된 10개의 cycle 중 SOH가 100.0%, 98.6%, 96.2%인 cycle 5, 9, 33의 SOC 추정 결과와 각 cycle의 오차를 나타낸 것이다. Cycle 5, 9는 normal, cycle 33은 caution에 해당한다. 그림 8(a), (c), (e)에서 확인할 수 있듯이, 세 사이클 모두 방전이 진행됨에 따라 추정값이 안정적으로 감소하는 추세를 보이고 있음을 확인할 수 있다.
SOC estimation results (a) Cycle 5 estimation result (b) Error at cycle 5 (c) Cycle 9 estimation result (d) Error at cycle 9 (e) Cycle 33 estimation result (f) Error at cycle 33
표 5는 각 cycle별 SOC 추정 모델의 평균 오차를 나타낸다. 세 cycle 모두 0.14 – 0.27% 수준의 평균 오차를 보이며 안정적인 추정 성능을 보이고 있음을 확인할 수 있다.
5.3 SOH 추정 시뮬레이션 결과
그림 9는 cycle 5, 9, 33의 SOH 추정 결과와 각 cycle의 오차를 나타낸 것이다. SOH 값이 100%인 Cycle 5에 해당하는 그림 9(a)의 경우, 약 1000 샘플 이전 구간에서는 오차가 일시적으로 크게 나타나는 구간이 관측되었으나, 이후에는 오차 변동이 감소하며 안정적인 추정 성능을 보였다. SOH 값이 98.6% Cycle 9에 해당하는 림 9(c)의 경우 약 500 샘플까지 오차 변동이 존재하였으나, 이후 구간에서는 안정적으로 SOH를 추정하는 것을 확인할 수 있다. 또한 SOH 값이 96.2%인 cycle 33에 해당하는 림 9(e)의 경우 약 250 샘플 이전에 오차 변동이 일부 관측되었으나, 이후에는 안정적인 추정 성능을 유지함을 확인하였다.
SOH estimation results (a) Cycle 5 estimation result (b) Error at cycle 5 (c) Cycle 9 estimation result (d) Error at cycle 9 (e) Cycle 33 estimation result (f) Error at cycle 33
표 6는 각 cycle 별 SOH 추정 모델의 평균 오차를 나타낸다. 세 사이클 모두 0.32-0.60% 수준의 평균 오차를 보이며 SOC의 예측값을 기반으로 하는 SOH 추정 모델이 충분히 안정적인 성능을 확보하고 있음을 보여준다.
그림 10은 test group에 대한 SOH 기반 분류 결과를 혼동행렬로 나타낸 것이다. Test group은 normal 상태 5개와 caution 상태 5개로 구성되어 있으며, 혼동행렬 분석 결과 제안한 모델이 두 상태를 오분류 없이 구분함을 확인하였다.
Ⅵ. 결 론
본 논문에서는 방열판과 열전도판을 기반으로 한 하이브리드 온도 보상형 LFP 배터리 시스템을 제작하여 사용하였고 해당 시스템에서 수집된 시계열 데이터를 기반으로 한 LSTM 모델을 적용하여 SOC 및 SOH를 추정하는 상태 모니터링 알고리즘을 제안한다. SOC 및 SOH 추정을 위해 각각 두 개의 모델이 사용되었으며, SOH 추정 단계에서는 선행 SOC 추정 단계에서 예측된 SOC값을 기존 배터리 파라미터에 더해 추가 입력으로 사용하여 SOH 추정이 이루어지도록 설계하였다.
방전 데이터는 SOH 기준 100%에서 98% 범위에 해당하는 수치를 normal 상태로, 97%에서 90%에 해당하는 수치를 caution 상태로 정의하였다.
제안한 모델의 성능 향상을 위해 최적의 윈도우 길이를 도출하였으며, validation group의 MAE와 RMSE 값을 비교 분석의 지표로 설정하였다. 그 결과, SOH 평균 추정 오차값이 가장 낮게 나타난 10을 최적 윈도우 길이로 설정하였다.
SOC 추정 시뮬레이션 결과, 세 개의 test cycle의 평균 오차는 각각 0.27%, 0.14%, 0.14%로 안정적인 추정 성능을 보임을 알 수 있다.
SOH 추정 시뮬레이션 결과 초기 구간에 오차가 일시적으로 증가하였지만 이후 구간에서는 세 개의 test cycle 모두 안정적인 추정 결과를 보였다. 각 cycle에 대한 평균 오차는 각각 0.60%, 0.32%, 0.35%로 안정적인 성능을 보이고 있음을 확인할 수 있었다.
본 논문은 제안한 알고리즘의 유효성을 제한된 실험 환경에서 검증하였으나, 실제 항공용 배터리 관리 시스템에 요구되는 실시간 연산 가능성 및 임베디드 환경에서의 적용 여부에 대한 검증은 수행되지 않았다는 한계를 가진다. 또한 제한된 규모의 테스트 데이터셋을 활용함에 따라, 다양한 운용 조건을 고려한 충분한 반영한 성능 검증에는 한계가 존재한다.
향후 연구에서는 데이터 규모를 확장하여 제안한 알고리즘의 일반화 성능을 검증하며 MNN, 1D-CNN, GRU 등 다양한 딥러닝 기반 모델과의 정량적 비교 분석을 수행할 계획이다. 아울러 임베디드 환경을 고려한 실시간 연산 가능성 평가를 통해, 실제 항공용 BMS 적용 가능성을 검증하고자 한다.
Acknowledgments
본 결과물은 2025년도 교육부 및 대구광역시의 재원으로 대구RISE센터의 지원을 받아 경북대학교에서 수행하는 지역혁신중심 대학지원체계(RISE)의 결과입니다(2025-RISE-03-001)
References
- M. J. Kim, "Global commercial aircraft electrification trends", Current Industrial and Technological Trends in Aerospace, Vol. 17, No. 2, pp. 20-35, 2019.
-
J. Jiang, Z. Li, W. Li, P. Ranjan, X. Wei, X. Zhang, and C. Zhang, "A review on insulation challenges towards electrification of aircraft", High Voltage, Vol. 8, No. 2, pp. 209-230, Apr. 2023.
[https://doi.org/10.1049/hve2.12304]
-
A. Bills, S. Sripad, W. L. Fredericks, M. Singh, and V. Viswanathan, "Performance metrics required of next-generation batteries to electrify commercial aircraft", ACS Energy Letters, Vol. 5, No. 2, pp. 663-668, Feb. 2020.
[https://doi.org/10.1021/acsenergylett.9b02574]
- Y. M. Jun, K. R. Oh, J. H. Lee, and K. H. Chung, "Urban air mobility trend", Current Industrial and Technological Trends in Aerospace, Vol. 18, No. 1, pp. 37-48, 2020.
-
W. L. Fredericks, S. Sripad, G. C. Bower, and V. Viswanathan, "Performance metrics required of next-generation batteries to electrify vertical takeoff and landing (VTOL) aircraft", ACS Energy Letters, Vol. 3, No. 12, pp. 2989-2994, Nov. 2018.
[https://doi.org/10.1021/acsenergylett.8b02195]
- Y. H. Yoon, "Introduction to future urban air mobility eVTOL", Journal of the Korean Society of Automotive Engineers, Vol. 43, No. 11, pp. 16-21, Nov. 2021.
-
T. P. Barrera, J. R. Bond, M. Bradley, R. Gitzendanner, E. C. Darcy, M. Armstrong, and C.-Y. Wang, "Next-generation aviation Li-ion battery technologies—enabling electrified aircraft", The Electrochemical Society Interface, Vol. 31, pp. 69-75, 2022.
[https://doi.org/10.1149/2.F10223IF]
-
S. I. Jeong and Y. H. Yoon, "Test Facility of Battery Simulator for Dynamic Characteristics and Safety Evaluation in Lithium-ion Battery", The Journal of The Institute of Internet, Broadcasting and Communication, Vol. 24, No. 2, pp. 133-138, Apr. 2024.
[https://doi.org/10.7236/JIIBC.2024.24.2.133]
-
Y. H. Yoon, "Characteristic Analysis of Lithium-ion Battery and Lead-acid Battery using Battery Simulator", The Journal of The Institute of Internet, Broadcasting and Communication, Vol. 24, No. 2, pp. 127-132, Apr. 2024.
[https://doi.org/10.7236/JIIBC.2024.24.2.127]
-
X. H. Rui, Y. Jin, X. Y. Feng, L. C. Zhang, and C. H. Chen, "A comparative study on the low-temperature performance of LiFePO4/C and Li3V2(PO4)3/C cathodes for lithium-ion batteries", Journal of Power Sources, Vol. 196, No. 4, pp. 2109-2114, Feb. 2011.
[https://doi.org/10.1016/j.jpowsour.2010.10.063]
-
R. Tang, et al., "A comprehensive review of the research progress on the low-temperature performance of LiFePO4 batteries", Carbon Neutralization, Vol. 4, pp. 70001-70027, Feb. 2025.
[https://doi.org/10.1002/cnl2.70001]
-
L. L. Liao, P. J. Zuo, Y. L. Ma, X. Q. Chen, Y. X. An, Y. Z. Gao, and G. P. Yin, "Effects of temperature on charge/discharge behaviors of LiFePO4 cathode for Li-ion batteries", Electrochimica Acta, Vol. 60, pp. 269-273, Jan. 2012.
[https://doi.org/10.1016/j.electacta.2011.11.041]
-
J. Liu, K. Liang, J. He, J. Li, X. Huang, X. Zhang, and Y. Ren, "Functionalized porous conductive carbon layer improves the low-temperature performance of LiFePO4 cathode material for lithium-ion batteries", Carbon, Vol. 229, pp. 119483-119494, Oct. 2024.
[https://doi.org/10.1016/j.carbon.2024.119483]
-
J. Hou, M. Yang, D. Wang, and J. Zhang, "Fundamentals and challenges of lithium ion batteries at temperatures between −40 and 60 °C", Advanced Energy Materials, Vol. 10, pp. 1904152-1904175, Feb. 2020.
[https://doi.org/10.1002/aenm.201904152]
-
B. S. Parimalam, A. D. MacIntosh, R. Kadam, and B. L. Lucht, "Decomposition reactions of anode solid electrolyte interphase (SEI) components with LiPF6", Journal of Physical Chemistry C, Vol. 121, No. 41, pp. 22733-22738, Oct. 2017.
[https://doi.org/10.1021/acs.jpcc.7b08433]
-
G. Song, Z. Yi, F. Su, L. Xie, Z. Wang, X. X. Wei, and C. M. Chen, "Boosting the low-temperature performance for Li-ion batteries in LiPF6-based local high-concentration electrolyte", ACS Energy Letters, Vol. 8, No. 3, pp. 1336-1343, Feb. 2023.
[https://doi.org/10.1021/acsenergylett.2c02903]
-
M. Klett, et al., "Non-uniform aging of cycled commercial LiFePO4//graphite cylindrical cells revealed by post-mortem analysis", Journal of Power Sources, Vol. 257, pp. 126-137, Jul. 2014.
[https://doi.org/10.1016/j.jpowsour.2014.01.105]
-
F. Mohammadi, "Lithium-ion battery state-of-charge estimation based on an improved Coulomb-counting algorithm and uncertainty evaluation", Journal of Energy Storage, Vol. 48, pp. 104061-104071, Apr. 2022.
[https://doi.org/10.1016/j.est.2022.104061]
-
H. M. Fahmy, H. M. Hasanien, I. Alsaleh, H. Ji, and A. Alassaf, "State of health estimation of lithium-ion battery using dual adaptive unscented Kalman filter and Coulomb counting approach", Journal of Energy Storage, Vol. 88, pp. 111557-111570, May 2024.
[https://doi.org/10.1016/j.est.2024.111557]
- S. Y. Jeong, Battery with heatsink, and method for managing the temperature of battery cells using the heatsink, KR Patent 10-2024-0150245, Oct. 30, 2024.
-
S. Kim, J. Lee, D. Wang, and I. Lee, "Vehicle simulator and SOC estimation of battery using artificial neural networks", Journal of Korean Institute of Information Technology, Vol. 19, No. 5, pp. 51-62, May 2021.
[https://doi.org/10.14801/jkiit.2021.19.5.51]
- J. H. Lee and I. S. Lee, "The online SOC and SOH of lithium battery estimation using neural network model bank", Proc. KIIT Conf., Jeju, South Korea, pp. 201-204, Nov. 2021.
-
J. H. Lee and I. S. Lee, "SOC estimation of lithium battery multi-cells using neural networks", Journal of Korean Institute of Information Technology, Vol. 21, No. 5, pp. 49-59, May 2023.
[https://doi.org/10.14801/jkiit.2023.21.5.49]
2025년 2월 : 창원대학교 전기전자제어공학부(공학사)
2025년 3월 ~ 현재 : 경북대학교 전자전기공학부 공학석사과정
관심분야 : AI 기반 회전체 시스템의 상태 모니터링 및 고장 진단
2025년 2월 : 영남대학교 전자공학부(공학사)
2025년 3월 ~ 현재 : 경북대학교 전자전기공학부 공학석사과정
관심분야 : AI 기반 회전체 시스템의 상태 모니터링 및 고장 진단
2023년 6월 : 하얼빈공업대학교 토목공학부(공학사)
2025년 3월 ~ 현재 : 경북대학교 전자전기공학부 공학석사과정
관심분야 : AI 기반 회전체 시스템의 상태 모니터링 및 고장 진단
2008년 10월 ~ 2017년 8월 : (주)우창엔지니어링 근무
2014년 2월 : 영진전문대학 디지털전기공학과(학사)
2016년 2월 : 경북대학교 에너지공학과(석사)
2017년 10월 ~ 2025년 12월 : PEOS 대표
2023년 1월 ~ 현재 : 주식회사 주원 대표
2022년 3월 ~ 현재 : 경북대학교 에너지공학과 박사과정
관심분야 : AI, 전력전자, 자동제어, 신호처리, 화재감지
2018년 2월 : 대구대학교 전자전기공학부(학사)
2021년 8월 : 대구대학교 전자공학과(석사)
2022년 1월 ~ 2024년 11월 : ㈜해성 연구원
2025년 1월 ~ 현재 : 주식회사 주원 선임
관심분야 : AI 기반 배터리 상태 관리, BMS, 펌웨어 개발
1986년 : 경북대학교 전자공학부(공학사)
1989년 : 경북대학교 전자공학부(공학석사)
1997년 : 경북대학교 전자공학부(공학박사)
1997년 3월 ~ 2008년 2월 : 상주대학교 전자 및 전기 공학 교수
2005년 8월 ~ 2007년 1월 : 미국 샌디에고 주립대학교 방문학자
2008년 3월 ~ 2014년 10월 : 경북대학교 전자전기공학부 교수
2014년 11월 ~ 현재 : 경북대학교 전자공학부 교수
관심분야 : 시스템 고장진단 및 고장허용제어, 배터리 SOC 및 SOH 추정, 신경회로망 기반 지능제어, 지능형 센서 시스템









