
SPMSM 구동 시스템의 속도 주파수 응답 추정 방법 구현
초록
본 논문에서는 SPMSM(Surface mounted Permanent Magnet Synchronous Motor) 구동 시스템에서 속도 제어 루프의 개루프 주파수 응답을 실험적으로 추정하는 방법을 제안한다. 모터 드라이브의 microcontroller unit에서 선형 chirp 신호를 생성하여 전류 제어기의 전류 지령으로 인가하고, 이에 따른 속도 응답을 계측한 후 입출력 데이터를 이더넷을 통해 외부 PC로 전송한다. 외부 PC에서 FFT(Fast Fourier Transform)을 적용하여 주파수 응답을 추정하고 이를 보드 선도로 시각화함으로써 모터 드라이브 내부의 연산 부담을 최소화한다. 모터 드라이브, SPMSM 및 외부 부하로 구성된 실험 환경에서 실험을 수행한 결과, 속도 제어 루프의 크기와 위상 주파수 응답이 안정적으로 추정되었으며, 이를 기반으로 0 dB 교차 주파수와 위상 여유 등 주요 동적 특성을 신뢰성 있게 도출할 수 있음을 확인하였다.
Abstract
This paper proposes an experimental method to estimate the open-loop frequency response of the speed control loop in Surface mounted Permanent Magnet Synchronous Motor (SPMSM) drive systems. A linear chirp signal is generated by the motor drive’s microcontroller unit and applied as the current reference of the current control loop. The resulting speed response is measured, and the acquired input–output data are transmitted to an external PC via Ethernet. To minimize the computational burden on the motor drive, the frequency responses are estimated using the Fast Fourier Transform (FFT) on the external PC and visualized as Bode plots. Experimental results from a setup consisting of a motor drive, an SPMSM, and an external load show that the magnitude and phase frequency responses of the speed control loop are stably estimated, enabling reliable identification of the 0 dB crossover frequency and phase margin.
Keywords:
SPMSM, speed control, frequency response, bode plotⅠ. 서 론
SPMSM(Surface Permanent Magnet Synchronous Motor)은 높은 출력 밀도와 우수한 효율 특성으로 인해 전기 자동차, 선박 추진 시스템, 산업용 로봇 등 다양한 응용 분야에서 널리 활용되고 있다[1]-[3]. SPMSM을 단위 전류당 최대 토크 조건에서 구동하기 위해서는 q축 전류를 정밀하게 제어하여 전기적 토크를 생성해야 하며, 이때 생성된 토크는 모터 및 연결된 부하의 관성, 마찰, 감쇠 특성 등 다양한 기계적 파라미터의 영향을 받아 속도 응답으로 나타난다. 따라서 고성능 속도 제어기를 설계하기 위해서는 모터 자체의 특성뿐만 아니라 외부 부하를 포함한 전체 기계 시스템의 동적 특성을 정확히 파악하는 것이 필수적이다[4].
그러나 실제 산업 현장에서 사용되는 외부 부하는 복잡한 기계적 구조를 가지는 경우가 많으며, 이에 따라 기계 시스템의 동적 모델은 고차 또는 비선형 형태로 나타나는 경우가 일반적이다. 이로 인해 정확한 수식 기반의 기계 시스템 모델을 도출하는 데 상당한 어려움이 발생하며, 모델링 오차는 제어 성능 저하로 직결될 수 있다[5]. 이러한 한계를 극복하기 위한 대안으로, 실험적으로 다양한 주파수 성분을 포함하는 chirp 입력 신호를 시스템에 인가하고, 이에 대한 출력 응답을 기반으로 주파수 응답을 추정하여 기계 시스템의 동적 특성을 식별하는 방법이 제안되어 왔다[6][7]. 그러나 [6][7]을 포함한 기존의 chirp 신호 기반 주파수 응답 추정 기법을 SPMSM 구동 시스템의 속도 제어 루프에 직접 적용된 사례는 아직 보고되지 않았다.
한편, 최근 상용 모터 드라이브는 PC 기반의 드라이브 관리 프로그램을 통해 모터 제어 루프의 보드 선도를 시각적으로 제공하는 기능을 지원하고 있다. 그러나 이러한 기능은 특정 제조사의 모터 드라이브에 한정되어 있으며, 보드 선도 추정에 사용되는 구체적인 신호 처리 방법이나 알고리즘은 공개되어 있지 않다[8][9]. 이에 따라 특정 하드웨어나 제조사에 종속되지 않으면서도, 실제 구동 환경에서 속도 제어 루프의 주파수 응답을 효과적으로 분석할 수 있는 일반적인 방법의 필요성이 제기된다.
이러한 배경에서 본 논문에서는 복잡한 구조의 외부 부하가 연결된 SPMSM 구동 시스템을 대상으로, 속도 제어 루프의 개루프 주파수 응답을 실험적으로 추정하기 위해 기존의 chirp 입력 신호 기반 주파수 응답 추정 방법을 SPMSM 구동 시스템에 확장 적용한다. 제안된 방법에서는 모터 드라이브의 MCU에서 생성된 chirp 입력 신호에 대한 입출력 데이터를 획득한 후, 이를 외부 PC로 전송하여 주파수 영역 분석을 수행한다. 주파수 응답 추정 및 보드 선도 생성과 같은 계산량이 큰 비실시간 처리는 외부 PC에서 수행되며, 그 결과는 HMI(Human Machine Interface) 윈도우 상에 보드 선도 형태로 시각화된다. 이를 통해 모터 드라이브 내부 MCU의 연산 부담을 효과적으로 최소화하는 동시에, 사용자에게 직관적인 주파수 응답 분석 환경을 제공한다.
또한 상용 모터 드라이브, SPMSM, 그리고 PC로 구성된 실험 환경을 구축하고, 제안된 주파수 응답 추정 방법을 실제 시스템에 구현하여 실험을 수행한다. 마지막으로, 동일한 입출력 신호 데이터를 MATLAB을 이용해 분석하여 얻은 보드 선도와 실험 결과를 비교함으로써, 제안된 주파수 응답 추정 방법의 성능을 검증한다.
Ⅱ. 설계 및 구현
2.1 주파수 응답 추정 방법 원리 및 구조
그림 1은 널리 사용되고 있는 SPMSM을 위한 단위 전류당 최대 토크를 발생시키는 FOC(Field Oriented Control) 기반 속도제어 구조를 나타내고 있다. d, q 축 전류제어를 위한 PI 제어기는 일반적으로 사용되는 설계 기준에 따라 설계되었으며 제어주기는 속도제어 주기와 비교하여 최소 10배 이상 빠르게 설정되므로 전류제어 루프의 동적 특성은 무시할 수 있다. 즉 q 축 전류 iq는 항상 전류 지령 와 같다고 가정할 수 있다[10]-[12].
SPMSM에서 발생하는 전기적 토크 Te는 식 (1)과 같이 계산되는데 npp는 모터의 극쌍 수, ψf는 영구자석의 쇄교 자속을 나타내고 이 값들은 상수로 간주할 수 있으므로 전기적 토크는 q 축 전류 iq에 비례한다.
| (1) |
한편 전기적 토크 Te가 발생할 때 회전자 속도 ω는 식 (2)와 같은 1차 미분방정식으로 나타난다.
| (2) |
위 식에서 Jm, Jext는 각각 모터와 외부 부하의 관성 모멘트이며 Bm, Bext는 각각 모터와 외부 부하의 마찰 계수이고, Text는 외부 부하의 상수 토크이다. 그러나 외부 부하의 기계적 구조가 복잡한 경우 외부 부하의 동적 모델 파라미터인 관성 모멘트 Jext, 마찰 계수 Bext, 상수 토크 Text를 구하기 어렵고 비선형 특성이 포함되므로 식 (2)의 기계 동적 모델을 이용해서 속도 PI 제어기를 설계하는 것에는 한계가 있다.
이러한 한계를 극복하기 위해 실험적으로 주파수 응답을 측정하여 기계 동적 모델 특성을 파악하는 방법을 사용한다. 즉 그림 1의 속도 제어 루프에서 속도 피드백 루프를 단절하여 개루프로 변환 후에 q 축 전류 지령 로 선형 chirp 신호를 입력하면 빠른 전류 제어 루프에 의해 q 축 전류 iq는 선형 chirp 신호 형태로 나타난다.
이후 식 (1) 에 의해서 전기적 토크 Te는 선형 chirp 신호 형태로 형성이 되고 이러한 토크 입력에 대해 모터의 기계 시스템은 회전자 속도 ω로 출력을 발생시킨다.
이러한 과정에서 q 축 전류 지령 로 입력된 선형 chirp 신호를 입력으로 간주하고 측정된 회전자 속도 ω로 출력으로 간주하여 측정된 입출력 신호에 FFT(Fast Fourier Transform)를 적용하여 토크 속도 관계를 모델링하는 주파수 응답을 추정할 수 있다.
선형 chirp 신호에는 저주파부터 고주파 성분까지 연속적으로 포함되어 있어 토크 속도 기계 시스템의 전체 주파수 대역의 동적 특성을 자극하는데 용이하여 보다 정확한 주파수 응답 추정이 가능하다.
모터 드라이브의 MCU의 부하를 경감하고 보다 빠르게 주파수 응답을 추정하기 위해 측정된 입출력 신호 데이터를 이더넷을 통해 PC로 전송하여 PC에서 FFT를 수행하여 주파수 응답을 추정한다. 또한 [13]에서 Qt 프레임워크 기반으로 개발된 모터 드라이브 감시용 HMI 윈도우 프로그램에 외부 PC에서 계산된 주파수 응답을 보드 선도로 시각화하는 기능을 추가하여 구현한다.
2.2 Chirp 신호 생성 및 속도 측정
제안된 주파수 응답 추정 방법의 구현을 위해서는 그림 1에 나타낸 전류당 최대 토크 조건을 만족하는 표준적인 FOC 기반 전류 제어 알고리즘이 동작하고 있는 조건이 필요하다. 이러한 조건을 만족시키기 위해 [13]에서 구현된 FOC 기반 전류 제어 알고리즘을 사용하고 다양한 주파수 성분을 포함하는 선형 chirp 신호는 식 (3)으로 구현된다.
| (3) |
위 식에서 f0는 chirp 신호의 시작 주파수, k는 주파수 증가율 (Hz/sec), t는 시간을 나타낸다. 모터 드라이브의 MCU에서는 제어주기마다 식 (3)을 이용하여 선형 chirp 신호를 생성하고 동시에 모터 제어 알고리즘의 q 축 전류 지령 로 입력하고 모터 속도를 측정하여 이더넷을 통해 PC HMI로 전송한다. 즉 모터 제어주기마다 선형 chirp 신호 샘플과 측정된 모터 속도 샘플을 각각 하나씩 이더넷을 통해 PC HMI로 전송한다.
2.3 주파수 응답 추정 및 보드 선도 도시
Qt 프레임워크 기반으로 개발된 PC HMI 프로그램에서는 모터 제어주기마다 모터 드라이브에서 이더넷을 통해 전송된 토크 입력(chirp 신호) 신호와 속도 출력 신호를 저장한다. 즉 모터 드라이브에서 chirp 신호 발생의 시작부터 종료까지 매 제어주기마다 전송된 입출력 신호 데이터를 PC HMI에서 계속 저장하여 주파수 응답 추정을 위한 입출력 신호 데이터를 확보한다.
모터 드라이브로부터 토크 속도 기계 시스템의 입출력 신호 데이터 전송이 완료되면 PC HMI는 입력신호 샘플링 데이터 x(n)에 대하여 FFT를 적용하여 식 (4)와 같은 DFT(Discrete Fourier Transform)의 각 주파수 성분을 나타내는 DFT 계수를 계산한다.
| (4) |
위 식에서 n은 시간 인덱스, k는 주파수 인덱스, N은 입력신호 샘플 수, , x(n)은 시간 영역에서 샘플링된 입력신호 값, X(k)는 신호 샘플링 주파주가 fs일 때 주파수 fk = kfs/N 성분의 DFT 계수이다. X(k)는 복소수로서 입력 샘플링 신호 x(n)의 주파수 fk = kfs/N 성분의 크기와 위상을 나타낸다. 속도 출력 신호 샘플 데이터 y(n)에 대해서도 FFT를 적용하면 주파수 fk = kfs/N 성분의 DFT 계수 Y(k)도 같은 방법으로 계산할 수 있다.
이후 SPMSM 토크 속도의 입출력 관계를 동적으로 모델링하는 주파수 응답은 식 (5)와 같이 각 주파수 fk = kfs/N에서의 입출력 신호의 DFT 계수 비로 계산된다.
| (5) |
또한, 보드 선도를 도시하기 위해 필요한 주파수 응답의 각 주파수 fk = kfs/N 성분의 크기와 위상은 식 (6) 및 (7)과 같이 계산된다.
| (6) |
| (7) |
이후 PC HMI 프로그램은 식 (6)과 (7)로 계산된 주파수 응답의 크기와 위상을 보드 선도 그래프 형태로 도시한다.
위와 같이 설계 및 구현되는 제안된 주파수 응답 추정 방법은 특정 제조사의 하드웨어나 전용 기능에 의존하지 않는다. 제안된 방법은 chirp 입력 신호를 이용하여 속도 응답을 생성하고 외부 PC에서 FFT 기반 주파수 영역 분석을 수행하는 구조를 가지므로, 외부 PC와의 데이터 송수신이 가능한 네트워크 인터페이스를 갖춘 임의의 MCU 기반 SPMSM 구동 시스템에 동일하게 적용될 수 있다.
Ⅲ. 실험 및 결과 분석
3.1 실험환경 구축
제안된 주파수 응답 추정 방법의 정상 동작과 성능을 실험하기 위해 그림 2와 같이 TI 사의 TMS320F28388D MCU 기반 모터 드라이브, 400 W급 SPMSM, HMI 용 PC로 구성되는 실험환경 구축한다. 모터 드라이브는 이더넷으로 HMI 용 PC와 연결되어 주파수 응답 추정에 필요한 입출력 데이터를 전송한다.
실험에서 전류 제어주기는 62.5 μs (16 kHz)로 동작하고, 식 (3)으로 생성되는 선형 chirp 신호의 주파수 생성 총 시간을 2.5 sec로 설정하여 62.5 μs의 전류제어 주기 기준으로 총 40,000개의 선형 chirp 신호 입력 샘플을 생성하고 동시에 총 40,000개의 회전자 속도 출력 샘플을 생성한다. 측정 주파수 범위는 시작 주파수 f0 = 1 Hz, 종료 주파수는 1000 Hz로 설정하고 이에 따라 식 (3)의 주파수 증가율은 k = 400 Hz/sec로 설정된다. 본 실험에서 사용한 전류제어 주기, chirp 신호의 길이 및 주파수 범위는 SPMSM 구동 시스템에서 일반적으로 사용되는 표준적인 설정을 기반으로 선정되었으며, FFT 기반 주파수 응답 추정을 통해 제안된 방법의 유효성과 성능을 검증하기에 충분히 타당한 조건이다.
3.2 실험 결과
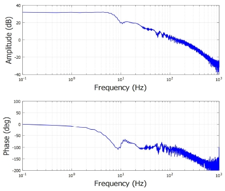
구축한 실험환경 및 실험 파라미터를 사용하여 실험을 수행하고 실험 결과는 그림 3과 같이 PC HMI에 도시된다. 도시된 HMI 그래프는 총 4개로 구성되고 각각 입출력 신호 샘플과 주파수 응답의 크기와 위상을 나타내는 보드 선도를 나타낸다.
그림 3의 좌측 상단의 그래프는 그림 1의 개루프 전류 지령 로써 선형 chirp 신호 샘플을, 좌측 하단의 그래프는 선형 chirp 신호 입력으로부터 발생하여 출력된 개루프 각속도 출력을 나타낸다. 1.5 sec 이후 입출력 신호 샘플의 변화는 도시된 그래프로 구별이 어렵기 때문에 1.5 sec 까지 만의 입출력 신호 샘플을 표시한다. 우측 상단 및 하단 그래프는 각각 크기 주파수 응답과 위상 주파수 응답을 보여주는 보드 선도를 나타낸다.
그림 3의 보드 선도에서 주파수 응답의 크기와 위상은 주파수가 증가함에 따라 감소하는 경향을 보이고, 이러한 전반적인 변화 양상과 기울기는 [14]에서 보고된 속도 제어 루프의 보드 선도와 정성적으로 일치하며, 이는 본 논문에서 추정된 주파수 응답이 타당함을 의미한다. 또한 실험을 통해 획득한 토크 속도의 입출력 데이터에 MATLAB 함수를 적용하여 보드 선도를 도출하여 그림 4에 나타내었다. 그림 3과 4의 보드 선도를 비교하면, 크기 및 위상 응답이 전반적인 형태와 값의 측면에서 서로 잘 일치함을 확인할 수 있다. 이는 서로 다른 조건에서 추정된 주파수 응답 결과가 일관된 특성을 보임을 의미하며, 제안된 주파수 응답 추정 방법이 신뢰할 수 있고 타당함을 추가적으로 뒷받침한다.
한편 보드 선도로부터 0 dB 교차 주파수는 약 130 Hz, 위상 여유는 약 70°로 추정된다. 이러한 개루프 속도 주파수 응답 특성은 SPMSM 제어 시스템의 개루프 토크 속도 모델의 동적 특성을 적절히 반영하고 있으며, 이는 추정된 주파수 응답이 속도 PI 제어기의 이득 설계 및 튜닝에 효과적으로 활용될 수 있음을 의미한다.
Ⅳ. 결 론
본 논문에서는 외부 부하가 연결된 SPMSM 구동 시스템에서 개루프 속도 주파수 응답을 실험적으로 추정하고 보드 선도로 도시하는 방법을 제안하였다. 제안된 방법은 모터 드라이브의 MCU에서 선형 chirp 신호를 생성하여 전류 제어기의 지령 입력으로 인가하고, 이에 따른 속도 출력을 측정한 후 FFT 기반 분석을 통해 주파수 응답을 추정하는 방식으로 구성된다.
TI사의 TMS320F28388D MCU 기반 모터 드라이브와 실제 SPMSM을 이용한 실험을 통해 제안된 방법의 정상 동작을 검증하였으며, 실험 결과로부터 개루프 속도 주파수 응답의 교차 주파수 및 위상 여유를 정량적으로 추정할 수 있음을 확인하였다. 이는 복잡하거나 비선형적인 기계 부하가 포함된 시스템에서도 수식 기반 모델링 없이 속도 제어기 설계에 필요한 동적 특성을 효과적으로 파악할 수 있음을 보여준다. 따라서 제안된 방법은 SPMSM 속도 PI 제어기 이득 설계 및 제어 성능 향상을 위한 실용적인 도구로 활용될 수 있다.
향후 연구로는 본 논문에서 추정한 개루프 속도 주파수 응답을 활용하여 목표 대역폭과 안정 위상 여유를 만족하는 속도 PI 제어기 이득을 체계적으로 산출하는 설계 및 튜닝 기법으로 확장할 계획이다. 이를 통해 별도의 기계 시스템 모델링 없이도 실험 기반 주파수 응답 정보만으로 안정적인 속도 제어 성능을 확보하는 실용적 설계 방법을 제시하고자 한다.
Acknowledgments
이 성과는 정부(과학기술정보통신부)의 재원으로 한국연구재단의 지원을 받아 수행된 연구임 (RS-2025-16066579)
References
-
A. Dwivedi, S. K. Singh, R. K. Srivastava, and S. N. Mahendra, "Comparative study and performance evaluation of analytical methods for surface mounted permanent magnet brushless motors", IET Power Electron., Vol. 9, No. 11, pp. 2289-2297, Oct. 2016.
[https://doi.org/10.1049/iet-pel.2016.0179]
-
Q. Tang, W. Yang, L. Zhang, and C. Shen, "Loss Minimization Control of SPMSM Considering Linear Iron Loss", Proc. 2018 IEEE Int. Power Electron. and Appl. Conf. and Expo. (PEAC), Shenzhen, China, pp. 1-6, Nov. 2018.
[https://doi.org/10.1109/PEAC.2018.8590651]
-
D. H. Choi, C. W. Jo, H. S. Han, H. G. Kim, W. H. Kim, and H. W. Kim, "Design of a Six-Phase Surface Permanent-Magnet Synchronous Motor with Chamfer-Shaped Magnet to Reduce Cogging Torque and Torque Ripple for Large-Ship Propulsion", Applied Sciences, Vol. 15, No. 21, Article No. 11400, Oct. 2025.
[https://doi.org/10.3390/app152111400]
-
P. Mercorelli, "Identification of Parameters and States in PMSMs," Electronics, Vol. 12, No. 12, Article No. 2625, Jun. 2023.
[https://doi.org/10.3390/electronics12122625]
-
A. Mamatov, S. Lovlin, T. Vaimann, A. Rassõlkin, S. Vakulenko, and A. Abramian, "Modified Technique of Parameter Identification of a Permanent Magnet Synchronous Motor with PWM Inverter in the Presence of Dead-Time Effect and Measurement Noise", Electronics, Vol. 8, No. 10, Art No. 1200, Oct. 2019.
[https://doi.org/10.3390/electronics8101200]
-
A. Yanto and Z. Abidin, "Development of Swept-sine Excitation Control Method to Minimize the FRF Measurement Error", Mechatronics Electrical Power and Vehicular Technology, Vol. 3, No. 2, pp. 57-64, Dec. 2012.
[https://doi.org/10.14203/j.mev.2012.v3.57-64]
-
F. Saupe and A. Knoblach, "Experimental determination of frequency response function estimates for flexible joint industrial manipulators with serial kinematics", Mechanical Systems and Signal Processing, Vol. 52, No. 1, pp. 60-72, Feb. 2015.
[https://doi.org/10.1016/j.ymssp.2014.08.011]
- PANATERM Ver6.0 Operation Manual, https://mediap.industry.panasonic.eu/assets/custom-upload/Factory%20&%20Automation/Industrial%20Motors/Manuals/mn_minas_a6_panaterm_operation_pidsx_en.pdf, . [accessed: Jan. 11, 2026]
- Servo Guide Operator's Manual, https://www.fanucamerica.com/products/cnc/cnc-software/machine-tool-builder-software/servo-guide, . [accessed: Jan. 11, 2026]
-
P. Sreenivasulu and J. Hussain, "Design of cascade control loops for DFIG based wind energy conversion system control", Matéria (Rio de Janeiro), Vol. 30, Feb. 2025.
[https://doi.org/10.1590/1517-7076-rmat-2024-0962]
- A faster current loop pays off in servo motor control, https://www.ti.com/lit/pdf/swpy031, . [accessed: Dec. 27, 2025]
-
C. Budai, T. Tóth-Katona, and P. Stumpf, "Novel design method for cascade control structure of electric drives: Closed‐form expressions for control gains via pole placement", IET Control Theory & Applications, Vol. 18, No. 17, pp. 2448-2467, Nov. 2024.
[https://doi.org/10.1049/cth2.12747]
-
Y. W. Sung, C. Yun, and J. Y. Choi, "Development of Motor Drive Monitoring System based on Multi-Core DSP", Journal of KIIT, Vol. 21, No. 2, pp. 69-76, Feb. 2023.
[https://doi.org/10.14801/jkiit.2023.21.2.69]
-
Z. Song, W. Zhou, and Y. Mo, "Research on Predictive Speed Control Scheme for Surface-Mounted Permanent Magnet Servo Systems", Electronics, Vol. 13, No. 17, Article No. 3421, Aug. 2024.
[https://doi.org/10.3390/electronics13173421]
2025년 2월 : 부산대학교 전기전자공학부 전자공학전공(공학사)
2025년 3월 ~ 현재 : 부산대학교 전기전자공학과 석사과정
관심분야 : 임베디드 시스템, 제어 시스템, AC 모터 제어
2019년 2월 : 부산대학교 전자공학과(공학사)
2024년 2월 : 부산대학교 전기전자공학과(공학석사)
2024년 3월 ~ 현재 : DN 솔루션즈 사원
관심분야 : 임베디드 시스템, 제어 시스템, AC 모터 제어
1994년 2월 : 포항공과대학교 전기전자공학과(공학사)
1996년 2월 : 포항공과대학교 전자전기공학과(공학석사)
2002년 : 포항공과대학교 전자전기공학과(공학박사)
2005년 3월 ~ 현재 : 부산대학교 전기전자공학부 교수
관심분야 : 임베디드 시스템, 제어 시스템, AC 모터 제어




