
Deep Learning-based Multivariate LSTM Approach for Forecasting Export and Import Container Throughput at Busan Port
Abstract
This study develops a multivariate LSTM framework to forecast monthly container throughput at Busan Port by jointly modeling export and import flows. The model generates 12-month multi-horizon forecasts and incorporates exogenous variables including exchange rates, the Industrial Production Index, and monthly holiday counts. Using data from 2011 to 2025, the proposed M-LSTM demonstrated superior accuracy, reducing MAE by 28.7% and 24.4% for export, and 26.6% and 23.9% for import compared to SARIMA and NeuralProphet. MAPE was also lower at 4.07% for export and 4.18% for import. It effectively captures nonlinear seasonality, temporal variation, and structural interdependence between export and import volumes. The study contributes by introducing a joint deep learning approach and demonstrating its superiority over traditional and hybrid forecasting methods.
초록
본 연구는 부산항의 월별 컨테이너 물동량을 예측하기 위해 수출·수입 흐름을 동시에 모델링하는 다변량 LSTM 프레임워크를 개발하였다. 이 모델은 환율, 산업생산지수, 월별 공휴일 수 등 외생 변수를 포함하여 12개월 다중 시계열 예측을 수행한다. 2011년부터 2025년까지의 데이터를 활용해 SARIMA 및 NeuralProphet과 비교한 결과, 제안된 M-LSTM은 수출에서 각각 28.7% 및 24.4%, 수입에서 26.6% 및 23.9%의 MAE 감소를 보여 더 높은 예측 정확도를 입증하였다. MAPE 역시 수출 4.07%, 수입 4.18%로, 두 비교 모델보다 낮은 값을 기록하였다. 또한 비선형적 계절성, 시계열의 변동성, 그리고 수출·수입 물동량 간 구조적 상호의존성을 효과적으로 포착한다. 본 연구는 수출·수입을 통합적으로 예측하는 딥러닝 기반 접근을 제안하고, 전통적 및 하이브리드 예측 모델 대비 그 우수성을 실증적으로 입증했다는 점에서 학문적 기여를 가진다.
Keywords:
container throughput forecasting, deep learning, LSTM, multivariate time series, maritime logisticsⅠ. Introduction
Forecasting container throughput at major international ports is essential for maintaining operational efficiency and competitiveness within global supply chains. Busan Port processes a dominant share of South Korea’s containerized trade and functions as one of the world’s leading transshipment hubs, connecting Northeast Asian production networks with global shipping routes. Accurate forecasts of export and import container volumes support data-driven decisions in berth scheduling, yard capacity planning, equipment deployment, and labor management, and also provide important signals for trade strategy, logistics infrastructure planning, and supply-chain resilience under global uncertainty.
Container throughput time series are influenced by strong seasonality, structural variability, and nonlinear responses to macroeconomic and logistical drivers such as exchange-rate movements and industrial production cycles. Traditional forecasting models such as ARIMA and SARIMA [1][2] remain widely used, but their reliance on linear dynamics and fixed seasonal structures limits performance under nonlinear demand patterns or abrupt structural shifts. Machine learning approaches, including support vector regression and gradient-boosting models [3], improve nonlinear fitting capability but generally struggle to capture long-range sequential dependencies.
Deep learning architectures, particularly Long Short-Term Memory (LSTM) networks [4], have shown strong ability to model nonlinear temporal dynamics and multi-horizon dependencies. Empirical findings in logistics and transportation domains demonstrate clear advantages over classical benchmarks, including for container throughput forecasting [5] and supply-chain demand prediction [6]. Nevertheless, most existing studies rely on univariate LSTM designs, treating export and import flows independently and overlooking operational interdependencies between outbound and inbound cycles. In practice, export surges alter container repositioning requirements and inbound slot availability, while import fluctuations affect subsequent export handling capacity through vessel turnaround constraints. Ignoring these bidirectional linkages can lead to biased forecasts and reduced operational relevance.
To address this gap, this study develops a Multivariate LSTM (M-LSTM) forecasting framework that jointly predicts monthly export and import container throughput at Busan Port. The model adopts an encoder–decoder structure with a rolling 12-month input window to generate simultaneous 12-month-ahead forecasts, incorporating key exogenous indicators—namely exchange rates and Industrial Production Indices—alongside sinusoidal seasonal encodings. Monthly data from August 2011 to July 2025 are used to train and evaluate the model under a realistic multi-horizon forecasting setting, with SARIMA and a hybrid NeuralProphet benchmark serving as comparative baselines.
Results show that the proposed model consistently outperforms the baselines across Mean Absolute Error (MAE), Root Mean Square Error (RMSE), and Mean Absolute Percentage Error (MAPE) for both export and import throughput, demonstrating improved temporal stability during seasonal peaks and periods of heightened external variability. These findings highlight both the practical benefit of jointly modeling bilateral trade flows and the methodological strength of sequence-based deep learning architectures in port-level demand forecasting.
This study offers three key contributions. First, it presents one of the earliest applications of a unified multivariate LSTM framework for simultaneous export–import forecasting at a major hub port. Second, it provides empirical evidence that deep learning-based sequence models deliver superior accuracy and temporal consistency relative to traditional statistical models and hybrid decomposition approaches in volatile logistics environments. Third, it introduces an update-ready forecasting pipeline that supports data-driven port management and can serve as a foundation for future integration with digital-twin and automated terminal control systems.
The remainder of this paper is structured as follows. Section 2 reviews related studies on container throughput forecasting and LSTM-based time-series modeling. Section 3 introduces the proposed M-LSTM architecture. Section 4 explains the dataset, preprocessing, and training configuration. Section 5 presents empirical results and comparative analyses. Section 6 concludes with key findings, practical implications, limitations, and future research directions.
Ⅱ. Related Work
2.1 Deep learning and M-LSTM approaches in container throughput forecasting
Accurate forecasting of container throughput is fundamental to port operations, enabling proactive resource allocation, congestion mitigation, and strategic capacity planning. Traditionally, linear time-series models such as ARIMA and SARIMA have been widely adopted in maritime logistics forecasting [7][8]. While these approaches effectively model stable and recurring patterns, their reliance on linear structures and fixed seasonal assumptions limits their performance under nonlinear and structurally dynamic conditions frequently observed in port environments, where throughput levels fluctuate with trade cycles, exchange-rate variation, and macroeconomic conditions. Consequently, conventional statistical models often fail to fully capture the volatility and cyclical interdependence inherent in container flow systems [1][2].
To overcome these limitations, machine learning methods such as support vector regression and gradient-boosting frameworks have been applied to enhance nonlinear approximation capability [3]. However, these methods typically treat temporal information as static features rather than sequential signals, thereby failing to capture long-term dependencies essential for port throughput forecasting.
Deep learning methods, particularly the LSTM network [4], have demonstrated strong capacity for modeling nonlinear sequential dependencies. Empirical studies in maritime and transportation analytics consistently report superior accuracy and temporal robustness of LSTM models relative to traditional approaches. For example, S. Shankar et al. [9] applied an LSTM framework incorporating economic, environmental, and social factors and reported superior forecasting accuracy compared with ARIMAX model, while C. H. Yang and P. Y. Chang [10] demonstrated that a CNN–LSTM architecture outperforms classical machine learning approaches in port container throughput forecasting.
Despite these advances, most existing studies still rely on univariate LSTM structures that forecast export and import flows separately. Such univariate designs overlook the operational interdependence between inbound and outbound movements, which arise from shared vessel schedules, container repositioning constraints, and terminal resource coupling. Recent port-forecasting research generally models only a single throughput series, such as total container volume or aggregate port demand, and therefore does not address the challenge of learning cross-flow interactions between distinct but correlated sequences. Hybrid or multi-source approaches, including models incorporating hinterland-foreland information [11], decomposition-enhanced hybrid neural models [12], or network-based port-interaction structures [13], broaden the information environment but still stop short of implementing a unified multivariate sequence model capable of jointly predicting export and import flows.
In contrast, general M-LSTM frameworks demonstrate the benefits of explicitly modeling multiple correlated temporal inputs. The ATT-LSTM of W. Ju and J. Liu [14], although applied in non-maritime settings, shows that jointly learning interactions across correlated time series can enhance temporal representation and forecasting accuracy. Likewise, Y. Liu et al. [15] present a dual-stage attention-based multivariate recurrent network that effectively captures long-term and cross-channel dependencies, reinforcing the methodological value of multivariate sequence learning. These findings collectively motivate the use of an M-LSTM architecture in the present study, where export and import flows evolve jointly and require integrated modeling.
2.2 Mechanics of the LSTM network
LSTM networks represent an advanced class of recurrent neural networks designed to capture long-range temporal dependencies in sequential data. Conventional recurrent neural networks often face gradient vanishing or explosion during back-propagation through long sequences, limiting their ability to retain information across extended temporal horizons [4].
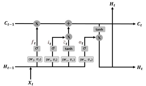
Fig. 1 provides a schematic representation of the internal computations within an LSTM cell, which centers around a memory cell regulated by three gating mechanisms, the forget, input, and output gates. At each time step t, the LSTM receives the current input Xₜ, the previous hidden state Hₜ₋₁, and the previous cell state Cₜ₋₁. The forget gate determines which historical information to discard, the input gate controls how much new information to store, and the output gate modulates the transformed memory that influences the next hidden state. Through this selective gating process, the LSTM preserves relevant long-term context while adapting to short-term variations, providing a flexible mechanism for modeling nonlinear and time-varying dynamics.
This architecture is particularly advantageous for port throughput forecasting, where time series exhibit volatility, seasonality, and regime shifts. Empirical work such as X. Ma et al. [16] confirms that LSTM models can effectively capture relationships across correlated temporal variables.
For multi-step or multi-horizon forecasting tasks, LSTM architectures can be extended into an encoder–decoder structure. In this configuration, the encoder compresses historical information into a latent state representation, while the decoder unfolds it across future time steps to produce coherent forecasts. This design has been successfully applied in various domains, including energy demand, financial modeling, and transportation analytics [17][18], and provides the architectural foundation for the proposed framework in this study.
III. Applied M-LSTM Framework for Export–Import Forecasting
Forecasting container throughput at a hub port such as Busan Port requires a modeling framework capable of capturing both the internal temporal dynamics of each trade flow (export and import) and the mutual dependencies between them. Conventional univariate time-series models and single-output LSTM configurations treat each flow as an independent process, overlooking the operational linkages intrinsic to maritime logistics systems. In reality, outbound and inbound container movements are interdependent, shaped by vessel rotation schedules, container repositioning cycles, and shared terminal infrastructure. Consequently, fluctuations in one direction often induce compensatory adjustments in the other, producing co-movement patterns that must be jointly modeled for accurate and operationally meaningful forecasting.
3.1 Rationale for an M-LSTM design
Building on the theoretical foundation described in Section 2, this study employs an M-LSTM framework to jointly learn intra-series temporal dependencies and inter-series relationships between export and import throughput. The gating mechanisms, forget, input, and output gates, enable the model to retain long-term contextual memory while updating short-term information, a property particularly effective in modeling cyclical and nonlinear throughput patterns driven by synchronized port operations and macroeconomic conditions.
Although M-LSTM architectures have been successfully applied in domains such as general multivariate time-series forecasting [15] and industrial process prediction [14], their use for simultaneous export–import forecasting at the port level remains limited. The proposed framework extends these applications through a dual-channel M-LSTM that encodes two correlated series within a unified temporal learning structure. By incorporating exogenous variables such as exchange rates, industrial production indices, and sinusoidal seasonality encodings, the model captures macroeconomic and calendar-driven demand conditions affecting port container throughput. These variables primarily enhance forecast stability and medium-term trend representation, rather than serving a causal interpretive role, which is consistent with the predictive focus of this study.
The proposed M-LSTM framework is particularly well suited for port container throughput forecasting, as port operations exhibit strong temporal dependencies, pronounced seasonality, and intrinsic interdependence between export and import flows arising from shared vessel schedules, container repositioning, and terminal resource constraints.
3.2 Model structure and learning configuration
The model adopts a sequence-to-sequence formulation in which 12 months of export and import observations jointly serve as the input window. Each time step is represented as a paired vector [Exportt, Importt], constructing an input tensor X ∈ ℝT×2, where T denotes the length of the input window. The network learns the nonlinear mapping
f([Exportt-T+1, Importt-T+1], . . ., [Exportt, Importt]) → [Exportt+1, Importt+1]), and optimizes its parameters by minimizing the mean squared error (MSE):
| (1) |
where N represents the number of training samples.
To support multi-horizon forecasting, an encoder–decoder configuration is implemented. The encoder extracts shared and flow-specific temporal representations, while the decoder unfolds these across future horizons to generate synchronized 12-month-ahead predictions for both export and import series. This design enforces temporal consistency and prevents unrealistic outcomes, such as simultaneous unconstrained growth in both flows, by implicitly reflecting operational capacity constraints of vessels and terminals.
The architecture remains intentionally streamlined, avoiding unnecessary hybridization with convolutional or decomposition-based components that characterize many recent complex forecasting models (e.g., Y. Tan and L. Huang [12], G. Liang et al. [13]). This simplified design enhances computational efficiency, facilitates periodic retraining as new data become available, and supports reliable, interpretable forecasting for berth scheduling, yard-capacity planning, and long-term port management.
Ⅳ. Experimental Design
This section outlines the experimental framework, encompassing data preprocessing, forecasting configuration, and the model training strategy.
4.1 Data description and preprocessing
This study employs a monthly time-series dataset covering August 2011 to July 2025, comprising 168 observations for Busan Port’s export and import throughput. Export and import TEU volumes serve as the primary endogenous variables, representing South Korea’s external trade and global logistics linkages. Monthly export and import container throughput data for Busan Port were obtained from the Maritime and Fisheries Statistics published by the Ministry of Oceans and Fisheries of Korea. Exogenous variables were collected from official national statistical databases.
To reflect macroeconomic and operational influences, three indicators are incorporated: exchange rate, industrial production index, and monthly public holiday counts. The exchange rate captures international trade cost fluctuations, the industrial production index represents domestic production-driven export cycles, and holiday counts approximate effective working days and seasonal rhythms.
Seasonality is encoded using sinusoidal sine and cosine functions to maintain the cyclical continuity between December and January, avoiding artificial breaks common in categorical representations. All continuous variables are normalized using Min–Max scaling (based on the training set only) to prevent data leakage, and throughput values are log-transformed to stabilize variance. The dataset is temporally partitioned into training, validation, and testing subsets, with the final 12 months (August 2024–July 2025) designated as the holdout test period. This fixed-block approach mimics real-world forecasting, where future data are unavailable during model estimation.
4.2 Forecasting configuration and training strategy
The forecasting problem is defined as a direct multi-horizon prediction, using the previous 12 months to forecast the next 12 months of throughput. The non-test segment is divided chronologically (80:20) into training and validation sets, with samples generated through a rolling-window mechanism that preserves causality. This setup exposes the model to diverse economic and operational conditions while preventing look-ahead bias.
The predictive system follows an encoder–decoder LSTM architecture in which the encoder summarizes historical dependencies into a latent context vector propagated across the forecast horizon via a RepeatVector layer. The decoder LSTM reconstructs sequential forecasts, refined through a TimeDistributed dense layer to adjust horizon-specific outputs. Dropout regularization mitigates overfitting, and parameters are optimized using the Adam algorithm with MSE loss. Early stopping based on validation loss ensures generalization and computational efficiency.
Model hyperparameters were selected through empirical tuning based on validation performance. Both the encoder and decoder LSTM layers were configured with 64 hidden units, providing a balance between representational capacity and overfitting risk given the monthly data frequency and sample size. Dropout regularization with a rate of 0.2 was applied to the LSTM layers to improve generalization. The model was trained for a maximum of 300 epochs using the Adam optimizer with an initial learning rate of 0.001, while early stopping with a patience of 20 epochs was implemented to terminate training once validation loss ceased to improve. The batch size was set to 16, reflecting a trade-off between training stability and computational efficiency.
These hyperparameter values were determined through preliminary experiments comparing alternative configurations, and the selected setup consistently exhibited stable convergence behavior and robust multi-horizon forecasting performance on the validation set, supporting effective learning of medium-term trade and logistics dynamics.
V. Forecasting Results and Analysis
5.1 Comparative evaluation of overall and temporal forecast accuracy
The predictive performance of the proposed M-LSTM model was benchmarked against two widely adopted forecasting approaches. The first benchmark, SARIMA, is a classical seasonal autoregressive integrated moving-average model that captures linear temporal patterns and stable annual seasonality. The second benchmark, NeuralProphet, is a hybrid decomposition-based neural model that integrates additive trend components, Fourier-based seasonality terms, autoregressive lags, and holiday effects within a unified neural regression framework. These baselines represent three distinct methodological families, parametric statistical modeling (SARIMA), hybrid neural decomposition (NeuralProphet), and deep sequence learning (LSTM), allowing a balanced comparison of forecasting capabilities for maritime container dynamics. Forecast accuracy was primarily evaluated using MAE, supported by RMSE and MAPE, following established time-series evaluation practices.
Table 1 presents the comparative results for export throughput forecasting. SARIMA and NeuralProphet achieved MAEs of 59,198 TEU and 55,772 TEU, respectively, whereas the proposed M-LSTM markedly reduced the error to 42,180 TEU, corresponding to improvements of 28.7% and 24.4% relative to SARIMA and NeuralProphet. Similar performance gains were observed for RMSE, where M-LSTM achieved 45,875 TEU compared to 60,655 TEU and 58,307 TEU. In terms of proportional accuracy, M-LSTM attained a MAPE of 4.07%, outperforming SARIMA (5.71%) and NeuralProphet (5.40%). These results highlight the strength of deep sequence learning in capturing nonlinear market fluctuations and temporal dependencies inherent in container trade flows.
For import throughput (Table 2), the M-LSTM model again demonstrated superior accuracy. The proposed model achieved a MAE of 43,093 TEU, improving upon SARIMA (58,695 TEU) and NeuralProphet (56,654 TEU) by 26.6% and 23.9%, respectively. RMSE and MAPE results followed consistent trends, with M-LSTM achieving lower errors across all metrics: RMSE of 48,940 TEU (compared with 61,931 TEU and 62,589 TEU) and MAPE of 4.18% (versus 5.65% and 5.45%). These results confirm that the multivariate temporal modeling capability of M-LSTM leads to systematic accuracy gains in both outbound and inbound port flows.
Fig. 2 and Fig. 3 further illustrate the monthly MAE trajectories over the 12-month forecast horizon for export and import throughput. In both cases, the M-LSTM exhibited consistently lower and more stable errors than the benchmark models. For export throughput (Fig. 2), SARIMA and NeuralProphet displayed noticeable volatility, with pronounced spikes during high-variance months such as September 2024 and February 2025, whereas M-LSTM maintained lower and stable error margins. A similar pattern is evident in import throughput (Fig. 3), where M-LSTM avoided sharp error surges observed in the benchmark methods, particularly during late-2024 and early-2025 when import flow variability was heightened by seasonal and macroeconomic factors.
Taken together, the tabular and graphical evidence demonstrates that the M-LSTM consistently outperforms SARIMA and NeuralProphet in both aggregate and month-to-month accuracy. The model’s ability to jointly learn export and import dynamics and accommodate nonlinear temporal dependencies results in smoother forecast trajectories and enhanced robustness under volatile trade conditions. These findings support the practical feasibility of deep learning architectures for accurate, operationally relevant port throughput forecasting.
5.2 Visual assessment of forecasting trajectories
Fig. 4 and Fig. 5 compare the actual observations and M-LSTM forecasts for export and import container throughput across the 12-month evaluation period. Overall, the forecast trajectories align closely with the observed monthly movements, indicating that the model effectively reproduces seasonal fluctuations and evolving trade dynamics.
For the export series (Fig 4), the M-LSTM successfully captures the gradual increase in throughput from late 2024 into early 2025 and follows most short-term month-to-month variations. Although the model shows slight over- or under-estimations in a few months, the overall directional movement and structural pattern remain consistent with the actual data.
For the import series (Fig. 5), the model demonstrates strong responsiveness to rapid short-term fluctuations. In particular, it reproduces the pronounced dip in early 2025 followed by an immediate rebound, a characteristic feature of the actual import flow during that period. Minor discrepancies in isolated months do not alter the overall alignment with observed market behavior.
Overall, these visual comparisons show that the M-LSTM produces forecasts that are both smooth and adaptive, preserving the essential temporal structures of the real series. This confirms the model’s operational relevance, complementing the quantitative evaluation presented in Section 5.1.
Ⅵ. Conclusion
6.1 Summary of contributions
This study proposed a M-LSTM forecasting framework designed to predict monthly export and import container throughput at Busan Port, the largest gateway hub for South Korea’s maritime trade. Unlike conventional univariate or single-target forecasting approaches that model export and import flows independently, the present framework jointly learns both series within a unified architecture, allowing the model to exploit shared trade dynamics, macroeconomic drivers, and synchronized operational rhythms across inbound and outbound cargo flows. Through this design, the model captures the inherent interdependence between export and import activity, a structural characteristic shaped by global trade cycles, vessel rotation schedules, and container repositioning patterns.
The empirical analysis demonstrated that the proposed model consistently outperformed benchmark approaches including SARIMA and NeuralProphet, achieving lower error metrics across MAE, RMSE, and MAPE for both export and import throughput. Monthly error trajectories further confirmed the model’s advantage, particularly in periods marked by heightened operational volatility or seasonal fluctuations. The results underscore the importance of jointly modeling correlated logistics flows and incorporating exogenous economic indicators when forecasting port-level throughput.
Beyond predictive accuracy, this study advances methodological clarity for maritime forecasting by applying a structured encoder-decoder LSTM with multi-horizon output generation. The model integrates log-transformation, seasonal encodings, and exogenous indicators such as exchange rates and industrial production indices, enabling it to capture macroeconomic and seasonal signals that govern container throughput. From an applied perspective, the findings highlight the value of data-driven forecasting tools for strategic port planning and operational decision support, offering a scalable and update-ready forecasting foundation that adapts to changing macroeconomic and logistics conditions. In sum, this research highlights the practical and theoretical importance of jointly modeling bilateral trade throughput using advanced recurrent architectures, contributing a reliable forecasting baseline for data-driven port operations and maritime policy analysis.
6.2 Limitations and future research directions
While the proposed M-LSTM model demonstrated strong forecasting performance for container throughput at Busan Port, several limitations remain. First, the empirical analysis was limited to a single case study. Because operational characteristics and cargo flow dynamics vary across ports, future work should extend the analysis to additional domestic and international ports to assess generalizability.
Second, this study highlights the structural advantages of M-LSTM modeling but does not provide a direct comparison with univariate LSTM models. Future work should conduct such comparisons to quantitatively assess the effect of interdependence learning.
Third, this study evaluated the model mainly in terms of predictive accuracy, without directly linking forecasts to operational decision-making. Future research could integrate the framework with decision support or digital-twin systems to enable real-time planning and policy evaluation, thereby enhancing its practical utility for data-driven port management.
References
-
Y. Rashed, H. Meersman, E. Van de Voorde, and T. Vanelslander, "Short-term forecast of container throughput: An ARIMA-intervention model for the port of Antwerp", Maritime Economics & Logistics, Vol. 19, pp. 111-125, Nov. 2017.
[https://doi.org/10.1057/mel.2016.8]
-
P. M. Schulze and A. Prinz, "Forecasting container transshipment in Germany", Applied Economics, Vol. 41, pp. 2809-2815, Feb. 2009.
[https://doi.org/10.1080/00036840802260932]
-
S. Xu, S. Zou, J. Huang, W. Yang, and F. Zeng, "Comparison of different approaches of machine learning methods with conventional approaches on container throughput forecasting", Applied. Sciences, Vol. 12, No. 19, Article No. 9730, Sep. 2022.
[https://doi.org/10.3390/app12199730]
-
S. Hochreiter and J. Schmidhuber, "Long short-term memory", Neural Computation, Vol. 9, No. 8, pp. 1735-1780, Nov. 1997.
[https://doi.org/10.1162/neco.1997.9.8.1735]
-
S. Shankar, P. V. Ilavarasan, S. Punia, and S. P. Singh, "Forecasting container throughput with long short-term memory networks", Industrial Management & Data Systems, Vol. 120, No. 3, pp. 425-441, Mar. 2020.
[https://doi.org/10.1108/IMDS-07-2019-0370]
-
M. Pacella and G. Papadia, "Evaluation of deep learning with long short-term memory networks for time series forecasting in supply chain management", Procedia CIRP, Stockholm, Sweden, Vol. 99, pp. 604-609, Jul. 2021.
[https://doi.org/10.1016/j.procir.2021.03.081]
-
Z. H. Munim, C. S. Fiskin, B. Nepal, and M. M. H. Chowdhury, "Forecasting container throughput of major Asian ports using the Prophet and hybrid time series models", The Asian Journal of Shipping and Logistics, Vol. 39, No. 2, pp. 67-77, Jun. 2023.
[https://doi.org/10.1016/j.ajsl.2023.02.004]
-
M. Khashei and M. Bijari, "A novel hybridization of artificial neural networks and ARIMA models for time series forecasting", Applied Soft Computing, Vol. 11, No. 2, pp. 2664-2675, Mar. 2011.
[https://doi.org/10.1016/j.asoc.2010.10.015]
-
S. Shankar, S. Punia, and P. V. Ilavarasan, "Deep learning-based container throughput forecasting: a triple bottom line approach", Industrial Management & Data Systems, Vol. 121, No. 10, pp. 2100-2117, Oct. 2021.
[https://doi.org/10.1108/IMDS-12-2020-0704]
-
C. H. Yang and P. Y. Chang, "Forecasting the demand for container throughput using a mixed-precision neural architecture based on CNN–LSTM", Mathematics, Vol. 8, No. 10, Article No. 1784, Oct. 2020.
[https://doi.org/10.3390/math8101784]
-
Q. Zeng and H. Xu, "A hybrid container throughput forecasting approach using bi-directional hinterland data of port", Scientific Reports, Vol. 14, Article No. 12872, Oct. 2024.
[https://doi.org/10.1038/s41598-024-12345-x]
-
Y. Tan and L. Huang, "Comprehensive forecasting model for port container throughput based on hybrid deep neural networks", Journal of Physics: Conference Series, Vol. 2690, Article No. 012023, Sep. 2024.
[https://doi.org/10.1088/1742-6596/2690/1/012023]
-
G. Liang, J. Wu, and M. Zhou, "Systemic modeling and prediction of port container throughput using complex network and AI techniques", Expert Systems with Applications, Vol. 245, Article No. 123372, Jan. 2024.
[https://doi.org/10.1016/j.eswa.2023.123372]
-
W. Ju and J. Liu, "Multivariate time series data prediction based on ATT-LSTM network", Applied Sciences, Vol. 11, No. 20, Article No. 9373, Oct. 2021.
[https://doi.org/10.3390/app11209373]
-
Y. Liu, C. Gong, L. Yang, and Y. Chen, "DSTP-RNN: A dual-stage two-phase attention-based recurrent neural network for long-term and multivariate time series prediction", Expert Systems with Applications, Vol. 143, Article No. 113082, Apr. 2020.
[https://doi.org/10.1016/j.eswa.2019.113082]
-
X. Ma, Z. Tao, Y. Wang, H. Yu, and Y. Wang, "Long short-term memory neural network for traffic speed prediction using multivariate time series", Transportation Research Part C: Emerging Technologies, Vol. 54, pp. 187-197, May 2015.
[https://doi.org/10.1016/j.trc.2015.03.014]
-
X. Wen and W. Li, "Time series prediction based on LSTM-attention-LSTM model", IEEE Access, Vol. 11, pp. 48322-48331, May 2023.
[https://doi.org/10.1109/ACCESS.2023.3276628]
-
Y. Yu, X. Si, C. Hu, and J. Zhang, "A review of recurrent neural networks: LSTM cells and network architectures", Neural Computation, Vol. 31, No. 7, pp. 1235-1270, Jul. 2019.
[https://doi.org/10.1162/neco_a_01199]
2024. 8 : Ph.D. in Business Administration, College of Business Administration, Seoul National University
2025. 9 ~ present: Assistant Professor, Dept. of Global Business, Tongmyong University
Research interests: AI, big data, e-business, and customer behavior in information systems






