
UWB 센서 기반 UAV의 3차원 위치추정 연구
; Jong-Young Kim*
; Han-Seop Kim*
; Jun-Hyuk Yang*
; Cheol-Sun Park**
; Jae-Won Chang**
; Young-Seek Chung***
초록
최근 항법 신호 부재(GNSS-denied) 환경에서 위성항법시스템(GNSS)을 대체하고자 초광대역(UWB, Ultra-Wideband) 기반 정밀 측위에 대한 연구가 증가하고 있다. 그러나 이러한 측위에 널리 사용되는 최소자승법(Ordinary Least Squares, OLS)은 앵커를 동일 평면에 배치 시 기하학적 특이성으로 위치 오차가 급증하는 한계가 있으며, 불안정한 통신 환경에서 발생하는 이상치(outlier)는 측위 성능을 심각하게 저하시키는 원인이 된다. 이에 본 논문에서는 통신 상태 플래그에서 이상치 데이터의 특성을 파악하여 이상치 측정값을 제거하는 전처리 기법을 적용하였다. 이를 바탕으로 동일 평면 앵커 배치 상황에서 OLS 및 Gauss-Newton 기반 ILS(Iterative Least Squares)를 실제 측위 실험에 적용하여 각 알고리즘의 측위 정확도를 비교하였다.
Abstract
Recently, there has been increasing research interest in Ultra-Wideband (UWB)-based precise positioning as an alternative to Global Navigation Satellite Systems (GNSS) in GNSS-denied environments. However, Ordinary Least Squares (OLS), a widely used range-based positioning method, is known to suffer from large position errors in coplanar anchor configurations due to geometric singularity, and range outliers arising from unstable communication significantly degrade positioning performance. To address this issue, we apply a pre-filtering scheme that identifies and removes invalid measurements using communication status flags. Based on this approach, we evaluate the positioning accuracy of OLS and a Gauss–Newton-based Iterative Least Squares (ILS) algorithm through real-world UWB experiments under coplanar anchor configurations.
Keywords:
ultra-wideband, UWB, 3-D localization, UAV, least squares, iterative least squares, coplanar anchorsⅠ. 서 론
전역 위성 항법 시스템(GNSS, Global Navigation Satellite System)은 통합 항법과 차량 내비게이션 등에 쓰이고 있으나, 실내와 같은 음영 지역이나 간섭이 발생하는 환경에서 정확한 위치 측위가 불가능하기 때문에, 항법 신호 부재(GNSS-denied) 환경에서의 대체 가능한 측위 기술에 대한 필요성이 증대되고 있다[1][2].
한편, 이러한 항법 신호 부재 환경에서 GNSS의 대안으로 Wi-Fi(IEEE 802.11)와 BLE(Bluetooth Low Energy) 기반의 측위 기법이 널리 연구되었다. 먼저 Wi-Fi의 경우, RSSI(Received Signal Strength Indicator) 핑거 프린팅(Fingerprinting)으로 AP(Access Point)의 신호 강도 지도를 구축하고, 수집된 RSSI와 비교하여 위치를 추정하는 대표적인 방식이다[3]. 이는 AP 외의 추가적인 하드웨어 없이 기존 인프라를 활용할 수 있다는 이점을 제공한다. 그러나 RSSI는 환경 변화에 민감하여 신호 강도 지도의 주기적인 갱신이 필수적이며, 단말기 간 수신 감도 및 안테나 빔 패턴의 이질성으로 인해 범용성을 확보하기 어렵다는 한계가 있다.
다음으로 BLE 또한 Wi-Fi와 유사한 접근 방식을 사용한다. RSSI 기반 비콘이 주기적으로 광고(Advertising) 신호를 송신하면, 수신기가 RSSI를 수집하여 삼변 측량으로 위치를 추정한다. 저전력, 저비용, 빠른 구축이 장점이나, 장애물에 따른 신호 차폐(Shadowing) 및 반사에 따른 RSSI 변동성에 취약점을 갖는다[4].
BLE 기반 AoD(Angle of Departure)는 CTE (Constant Tone Extension) 신호와 배열 안테나를 이용하여 입사각과 방위를 직접 추정한다[5]. 이는 RSSI보다 높은 정밀도를 제공할 수 있으나, 전용 안테나 배열과 스위칭 하드웨어, 그리고 근거리 편향 및 실내 반사로 인한 각도 추정의 불안정성을 감안해야 한다. 또한 광고 신호의 주기 단축은 반응성을 향상시키지만, 채널 혼잡도 증가와 간섭을 유발할 수 있다.
이처럼 Wi-Fi와 BLE는 인프라 재활용과 비용 효율 측면의 장점에도 불구하고, 환경, 기기, 운영상의 다양한 변수로 인해 센티미터급 정밀도와 안정성을 확보하기는 어렵다.
반면, UWB(Ultra-Wideband)는 넓은 대역과 짧은 펄스폭으로 미세 시간 지연 구분과 다중경로 분리에 탁월하여 센티미터 수준의 정밀한 측위 성능을 제공한다는 장점이 있다. 다만, NLoS (Non-Line-of-Sight) 바이어스와 동일 평면(Coplanar)으로 앵커를 배치하는 경우에는 측위 기하의 품질을 나타내는 PDOP(Position Dilution of Precision) 값이 급격히 커지고, 자코비안 행렬의 조건 수(Condition number)가 악화되어 선형화 기반 해의 수렴성이 떨어지는 기하학적 특이성(Geometric singularity)이 발생하기 쉽다[6]. 또한 UAV (Unmanned Aerial Vehicle)의 자세 변화나 채널 환경에 따른 UWB 통신 실패는 위치 측정값에 심각한 이상치(Outlier)를 발생시키는 실질적인 문제를 야기한다.
본 연구에서는 이러한 통신 실패 상황에서 나타나는 데이터 패턴을 기반으로, 통신 상태 플래그와 거리 측정 이상치를 식별하여 유효하지 않은 데이터를 사전에 판별하여 위치추정에서 제외하였다. 이후 정제된 데이터를 바탕으로 동일 평면 앵커 배치 환경에서 기존 측위 알고리즘인 OLS(Ordinary Least Squares) 및 ILS(Iterative Least Squares)를 적용하여, GNSS-RTK(Real-Time-Kinematic)를 기준으로 UWB 기반 실제 측위 실험을 통해 시스템 설계 및 성능을 검증하고자 한다.
Ⅱ. 최소자승법 기반 측위
2.1 최소자승법(OLS)
본 논문에서는 거리 측정 값 과 N 개의 앵커 좌표 로부터 태그 위치 를 추정한다. 3차원 거리 방정식은 다음 식 (1)과 같다.
| (1) |
모든 앵커가 동일 평면에 배치된 경우, 특이 행렬 문제로 수직위치를 구할 수 없다. 이를 해결하기 위해 본 연구에서는 2단계 최소자승법을 사용한다.
먼저 NC2 = N(N – 1)/2 개의 모든 앵커 쌍 에 대한 거리 제곱 식 차분을 통해 (x,y)에 관한 선형 방정식을 구성한다. 이를 행렬 형태로 나타내면 식 (2)와 같다.
| (2) |
여기서 행렬 A와 b는 식 (3)과 같이 NC2개 행으로 구성된다. 이때 k(=1,..,NC2)는 앵커 쌍(m,n)을 나타내는 첨자이며, 각 성분은 식 (4)와 같다.
| (3) |
| (4) |
이를 통해 평면 상 추정 위치 를 먼저 구한 다음, 각 수평 거리에 대한 앵커별 높이의 평균으로 수직 높이 을 결정한다. Z축 복원 수식은 다음 식 (5)와 같다.
| (5) |
2.2 반복 최소자승법(ILS)
ILS를 구현하는 대표적인 알고리즘인 가우스–뉴턴(Gauss-Newton) 방법은 비선형 잔차를 현재 추정한 위치 xk 근방에서 선형 근사한 뒤, 최소 제곱에 대한 해를 반복적으로 갱신하는 방식이다[7].
현재 추정 위치 x와 N 개의 앵커에서 측정한 거리 간의 차이를 나타내는 잔차 벡터 f(x)는 다음 식 (6)과 같이 정의된다.
| (6) |
다음으로, 이러한 f(x)를 로 편미분 하여 자코비안 행렬 Jk (Jacobian Matrix)를 구한다. Jk는 각 관측 잔차 fi(x)의 x에 대한 국소적 민감도를 평가한 행 단위의 기울기 행렬이다. 각 관측 잔차의 위치 성분에 대한 편미분 수식은 식 (7)과 같으며, 이러한 성분들로 구성된 자코비안 행렬 J(x)는 식 (8)과 같이 정의된다.
| (7) |
| (8) |
이러한 가우스-뉴턴 방식은 OLS로 구한 초기 값과 앵커 배치의 기하학적 조건(PDOP)이 양호한 위치에서는 빠르게 수렴하지만, 반대의 경우 발산할 가능성 또한 있다. k번째 반복에서 위치 보정 벡터 Δxk를 구하고 위치 xk+1을 갱신하는 수식은 다음식 (9)와 같다.
| (9) |
Ⅲ. 실험 결과
3.1 실험 환경 조성
드론 측위 실험은 다음 그림 2와 같은 환경에서 실험을 진행하였으며, 적색 타원으로 표시된 총 4개의 앵커를 약 10 m의 길이를 갖는 정사각형이 되도록 배치하였다. 전파 반사 및 지면과의 다중 회절을 고려하여 유전율이 낮은 발사목을 결합한 삼각대에 앵커를 설치하였다. 또한 각도에 따른 거리 오차 실험 결과 및 DW-3000의 안테나 빔 패턴을 참고한 HPBW(Half-Power Beamwidth)를 고려하여 앵커를 부착하였다[8].
UWB 앵커 및 태그는 Decawave 社의 DW-3000을 사용하였으며, Wi-Fi 브리지 기반 통신으로 드론에 태그를 장착하여 무선으로 GCS(Ground Control Station) 역할을 하는 노트북 PC에서 데이터를 수신했다.
측위 목표인 태그를 부착한 드론은 아래 그림 3과 같으며, Hoshi 社의 KF-101 MAX Drone을 사용하였다. 태그는 드론 하단부에 부착하여 안테나 빔 패턴을 고려한 원활한 통신이 이루어지도록 구성하였다.
각 알고리즘별 측위 성능 검증을 위해 PPSOL 社의 RTAP2U GNSS-RTK(Real-Time Kinematic) 수신기를 활용하였다. 이를 통해 국토지리정보원에서 제공하는 NTRIP(Network Transport of RTCM via Internet Protocol)을 기반으로 정밀한 위치를 얻도록 하는 RTCM(Radio Technical Commission for Maritime Services) 데이터를 수신함으로써, UAV의 실시간 고정밀 3차원 위치 좌표를 획득하고 이를 비교 기준으로 설정하였다.
GNSS-RTK 수신기의 수평 및 수직 정확도는 각각 3 cm 이내를 확인하였다[9]. 실험 시 드론 상단에 RTK 수신기를 부착 후, 센티미터급 위치 결정이 이루어진 ‘Fixed RTK’ 상태를 확인하며 실험을 진행하였다.
본 실험의 데이터는 그림 4의 네트워크 구성과 같이 GCS에서 두 가지의 독립적인 경로로 수집하였다. 먼저 DW-3000 기반의 UWB 통신으로 획득한 각각의 ToF 정보를 업링크(Uplink) 방식으로 드론에 장착된 태그에서 일괄 수집된 후, Wi-Fi 브릿지를 통해 GCS로 전송하였다. 이와 동시에 GNSS-RTK에서 수집한 데이터는 모바일 핫스팟(Mobile hotspot)을 통한 인터넷 연결로 NTRIP 캐스터에 접속하여 RTCM 보정 신호를 수신하였으며, Wi-Fi를 통해 최종적으로 GCS에서 데이터를 수신하는 과정에 대한 상세한 개념도는 그림 5와 같다.
3.2 GNSS-RTK 좌표 변환
RTK 수신기로 획득한 NMEA(The National Marine Electronics Association) 텍스트 로그에는 WGS 84 모델을 기준으로 하는 LLH(Latitude Longitude Altitude) 형식의 측지 좌표계 데이터가 포함된다. 이는 UWB 기반 로컬 좌표계와 직접 비교하기 어렵다. 이 때문에 먼저 식 (10)과 같이 지구 중심 고정 좌표계(ECEF, Earth-Centered, Earth-Fixed)로 변환한 후, 획득한 ECEF 좌표를 다시 식 (11)의 변환 행렬 RENU로 특정 앵커를 원점으로 하는 데카르트 좌표계(ENU, East-North-Up)로 변환하였다. 이렇게 변환된 ENU 좌표 궤적을 UWB 기반 위치 좌표와 오차 비교를 위한 기준 궤적으로 활용하였다. 식 (10)과 (11)에서 ϕ, λ, h는 각각 위도(Latitude), 경도(Longitude), 고도(Altitude)를 나타내며, a와 e는 각각 지구 타원체의 장반경(Semi-major axis)과 이심률(Eccentricity)을 의미한다. 또한 N(ϕ)는 횡 곡률 반경(Transverse radius of curvature)이며, ϕ0와 λ0는 로컬 ENU 좌표계 원점의 위도와 경도이다.
| (10) |
| (11) |
3.3 데이터 전처리 및 필터링
UWB 측위 시스템을 실제 환경에 적용 시, 앵커와 태그 간의 통신은 UAV의 자세 변화, 다중 경로, 혹은 신호 간섭 등으로 인해 불안정해질 수 있다. TWR 기반 측위에서 4개의 앵커 중 하나라도 거리 측정에 실패하면, 해당 시점의 데이터 셋은 측위 시 심각한 오차를 유발한다. 또한 통신에는 성공하여 유효한 거리 값이 수신되더라도, 순간적인 NLoS나 다중 경로 반사로 인한 이전 측정값 대비 비정상적인 이상치가 발생할 수 있다.
기존 연구에서는 이러한 거리 오차를 줄이기 위해 잔차 분석이나 머신 러닝 기반의 식별 및 완화 기법을 활용하거나[10], 거리 오프셋 보정과 강건 필터를 결합한 후처리 알고리즘을 제안하였다[11]. 다만 이러한 접근은 환경 및 장치 조건에 따른 부가적인 연산이 요구될 수 있기 때문에 드론 탑재 시스템 구현 및 운용 시 제약이 발생할 수 있다.
이에 본 연구에서는 통신 실패 및 프레임 오류로 인해 비정상 거리 값이 입력되는 경우를 사전에 배제하기 위한 전처리 및 필터링을 적용하였다.
태그 펌웨어에서는 각 앵커에 대해 TWR 폴링 신호를 순차적으로 전송한 뒤, UWB 모듈에서 제공하는 API(Application Programming Interface)를 통해 수신 상태 플래그(SYS_STATUS)를 확인하여 해당 시도의 성공 여부를 판별한다. 구체적으로, 레지스터 내 수신 대기 시간 초과를 나타내는 RXFTO (Receive Frame Timeout) 비트와 수신 패킷의 CRC (Cyclic Redundancy Check) 오류를 지시하는 RXFCE (Receiver FCS Error) 비트의 활성화 여부를 기준으로 거리 데이터의 유효성을 구분하였다. 또한 수신된 프레임의 앵커 식별자가 기대한 값과 일치하지 않는 경우에는 통신 실패로 간주하고, 미리 정한 최대 재시도 횟수(40회)까지 동일 절차를 반복 수행한다. 최대 재시도 이후에도 특정 앵커로부터 정상적인 응답을 확보하지 못한 경우, 해당 앵커의 거리 측정값은 무효 값으로 기록되며, 이후 측위 과정에서는 사용하지 않는다.
추가적으로 이전과 현재 시점의 앵커 거리 값이 모두 유효한 경우에 한해 각 앵커별 거리 변화가 급격한 데이터 셋의 경우에도, 이상치로 판단하여 제외하였다.
본 실험에서는 궤적 비행 시 수집된 총 1,900개의 데이터 중에서 약 24.1%인 458개가 통신 불안정으로 인한 이상치로 식별되었다. 수집된 UWB 데이터 셋에서 4개의 앵커 거리 정보 중 단 하나라도 이와 같이 유효하지 않은 값이 포함된 경우, 해당 시점의 데이터 셋 전체를 폐기하며, 측위 연산은 오직 4개의 앵커로부터 유효한 거리 값을 모두 수신한 경우에만 수행한다. 이를 통해 통신 실패나 앵커 식별 오류로 인한 심각한 측위 오차를 사전에 차단하여 추정 단계의 안정성을 확보하였다.
3.4 실험 결과
UWB 기반 실제 측위 실험은 크게 두 가지 시나리오로 구성하여 OLS와 ILS 알고리즘의 3차원 측위 성능을 비교 분석하였다. 먼저, 앵커 배치 외부의 특정 지점에서 정지 비행을 통한 정적 측위 성능 분석과, 궤적 비행을 통한 측위 성능 분석을 진행하였다. 모든 UWB 기반 측위 결과는 GNSS-RTK 수신기로 획득한 기준 궤적과 비교하였다.
그림 6은 UAV가 앵커 배치 외부의 특정 위치 상공(Z≈7 m)에서 안정적인 고도를 유지하며 정지 비행을 수행할 때의 3차원 궤적을 GNSS-RTK 기준 궤적과 함께 나타낸 것이다.
정지 비행에 대한 측위 성능 분석 결과, 표 1의 결과를 통해 ILS가 OLS 대비 RMSE 전반에 걸쳐 더 작은 값을 보이며 더 우수한 측위 성능을 나타냄을 확인하였다. 이때 정지 비행 상태에서의 시간 경과에 따른 각 알고리즘별 추정 좌표와 RTK 기준 좌표를 비교한 결과는 그림 7과 같다.
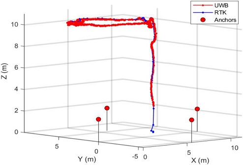
그림 8은 앵커 배치 중심의 지면에서 이륙하여 고도 10 m 부근까지 수직 상승 후, 고도를 유지하며 앵커 배치 경계 내/외부를 오가는 사각형 궤적을 그리는 비행 궤적에 대한 실험 결과이다. 그림 8에서는 필터링 전 UWB 기반 3차원 궤적과 RTK 기준 궤적을 비교하고 있으며, 통신 불안정에 따른 스파이크(spike) 노이즈가 다수 관측되었다. 그림 9는 그림 8과 동일한 비행 궤적에 대한 필터링 후의 결과를 나타낸 것이다.
이 실험은 동일 평면 앵커 배치 시 Z축 오차가 가장 취약해지는 앵커 중심부와 특정 방향으로 오차가 취약해지는 앵커 배치 외부를 전반적으로 통과하며, 기하학적 특이성 변화에 따른 알고리즘의 신뢰성을 검증하기 위해 진행하였다.
표 2는 그림 9의 전체 궤적에 대한 평균 오차를 나타내며, 전반적인 성능 격차는 약 1 cm로 미미했으나, 해당 궤적을 구간별로 나누어 분석한 결과, PDOP 값이 증가하는 앵커 배치 외부 구간 전반에 걸쳐 표 3의 결과를 통해 ILS가 OLS 대비 3 cm 더 우수한 측위 정확도를 보이는 것을 확인하였다.
보다 면밀한 두 알고리즘의 성능 차이 분석을 위해 궤적 비행 실험 데이터에 대한 오차 누적 분포 함수(CDF)를 분석하였다. 그림 11은 OLS와 ILS의 3차원 위치 오차 CDF를 나타낸다. 일반적인 통신 환경인 하위 50% 확률 구간(CEP, Circular Error Probable)에서는 두 알고리즘이 유사한 성능을 보였다. 이는 해당 구간의 오차가 크래머-라오 하한(CRLB)에 근접하여, 알고리즘 개선만으로는 오차를 줄이는 것이 제한적이기 때문으로 판단된다. 오차가 증가하는 하위 90%(CE90, Circular Error 90%) 구간에서는 OLS가 0.345 m를 기록한 반면 ILS는 0.29 m로 억제하여 약 15.9%의 유의미한 성능 차이를 보였다. 이를 통해 동일 평면 앵커 배치로 인한 기하학적 특이성이 발생하는 앵커 배치 외곽이나 통신 불안정 상황에서는 ILS가 해의 발산을 효과적으로 방지하여 시스템의 안정성을 향상시킨다는 것을 관측하였다. 특히 본 연구에서 적용한 ILS는 선행된 OLS의 추정 결과를 초기 값으로 사용하여 해를 갱신하는 구조를 갖는다. 따라서 OLS의 오차가 수렴 반경 내에 존재하는 경우에는 ILS로 더욱 정밀한 해를 도출할 수 있었으나, 수렴 영역을 벗어나는 상황에서는 ILS의 성능 향상 또한 제한될 수 있음을 확인하였다.
Ⅳ. 결 론
본 연구에서는 알고리즘 성능 검증을 위해 실제 정지 비행 실험에서 600여 개의 데이터와 궤적 비행 실험에서 총 1900개의 데이터를 확보하였다. 특히 궤적 비행 실험에서는 UAV의 자세 변화 등에 따른 통신 재시도 한계 초과 및 불안정한 통신 환경으로 인해 약 24.1%의 거리 측정 이상치가 발생하였으나, 전처리 및 필터링을 통해 선별적으로 제거하여 측위의 신뢰성을 확보하였다. 이후 실제 GNSS-RTK를 기준 궤적과의 비교 분석을 진행한 결과, 정지 비행과 궤적 비행 시나리오 모두에서 ILS의 성능 우위가 관찰되었다. 두 알고리즘은 일반적인 상황에서 유사한 정확도를 보였으나, 기하학적 조건이 불리해지는 앵커 배치 외부 영역에서 ILS가 OLS 대비 정지 비행 시 약 2 cm, 궤적 비행 시 약 3 cm 정도 향상된 위치 정확도를 관측하였다. 이는 동일 평면 앵커 배치로 인한 앵커 외곽에서의 측위 기하가 불리해지면서 전반적으로 OLS의 위치 오차가 증가하는 반면, ILS는 반복 갱신을 통해 이러한 오차를 효과적으로 완화하여 보다 강건한 해를 도출할 수 있음을 시사한다.
결론적으로 항법 신호 부재 환경에서 3차원 측위를 위한 시스템 구축 시, 동일 평면상 앵커를 배치하는 경우에는 ILS를 적용하는 것이 OLS 대비 전반적으로 안정적인 성능 향상을 보이며, 특히 앵커 배치 외곽 영역에서 더욱 유의미한 정확도 향상을 기대할 수 있는 효과적인 접근 방식임을 확인하였다. 그러나 본 연구에서는 UWB 센서 모듈 자체의 송출 전력 제약으로 인해 약 20 m 이내 LoS 조건에서만 검증되었다는 한계가 있다. 향후 연구에서는 신호 증폭기 도입 및 앵커 추가 증설을 통해 100 m 급 환경으로 확장하여 성능 연구를 진행할 계획이다.
Acknowledgments
본 논문은 정부(방위사업청)의 재원으로 미래도전국방기술과제(No. 915087201)를 통해 연구가 수행되었다
References
-
Y. Alkendi, L. Seneviratne, and Y. Zweiri, "State of the Art in Vision-Based Localization Techniques for Autonomous Navigation Systems", IEEE Access, Vol. 9, pp. 76847-76874, May 2021.
[https://doi.org/10.1109/ACCESS.2021.3082778]
-
T. Li, X. Yu, Q. Lin, Y. Lv, G. Wen, and C. Shi, "Distributed Cooperative Localization for Unmanned Systems Using UWB/INS Integration in GNSS-Denied Environments", IEEE Transactions on Instrumentation and Measurement, Vol. 74, pp. 1-13, 2025.
[https://doi.org/10.1109/TIM.2025.3559161]
-
S. He and S.-H. G. Chan, "Wi-Fi Fingerprint-Based Indoor Positioning: Recent Advances and Comparisons", IEEE Communications Surveys & Tutorials, Vol. 18, No. 1, pp. 466-490, 1st Quart. 2016.
[https://doi.org/10.1109/COMST.2015.2464084]
-
L. Bai, F. Ciravegna, R. Bond, and M. Mulvenna, "A Low Cost Indoor Positioning System Using Bluetooth Low Energy", IEEE Access, Vol. 8, pp. 136858-136871, Jul. 2020.
[https://doi.org/10.1109/ACCESS.2020.3012342]
-
C. Huang, Y. Zhuang, H. Liu, J. Li, and W. Wang, "A Performance Evaluation Framework for Direction Finding Using BLE AoA/AoD Receivers", IEEE Internet of Things Journal, Vol. 8, No. 5, pp. 3331-3345, Mar. 2021.
[https://doi.org/10.1109/JIOT.2020.3022032]
-
K.-H. Kim, N.-J. Park, H.-G. Lee, and H.-S. Ahn, "3-D localization with coplanar anchors", IEEE Communications Letters, Vol. 27, No. 1, pp. 110-114, Jan. 2023.
[https://doi.org/10.1109/LCOMM.2022.3216030]
-
J.-S. Ko, S.-P. Nah, C.-S. Park, and W.-Z. Chung, "Optimal Ground-Based Anchor Placement for Reference-Insensitive Linear Least Squares Multilateration", Journal of Korean Institute of Information Technology, Vol. 23, No. 10, pp. 153-161, Oct. 2025.
[https://doi.org/10.14801/jkiit.2025.23.10.153]
-
T. Polonelli, S. Schläpfer, and M. Magno, "Performance Comparison Between Decawave DW1000 and DW3000 in Low-Power Double Side Ranging Applications", Proc. 2022 IEEE Sensors Applications Symposium (SAS), Sundsvall, Sweden, pp. 1-6, Aug. 2022.
[https://doi.org/10.1109/SAS54819.2022.9881375]
-
H. Kim, Y. Kim, and K. Park, "Performance Evaluation of the Low-cost, High-precision RTK Device RTAP2U for GPS-based Precise Localization", Journal of Positioning, Navigation, and Timing, Vol. 10, No. 1, pp. 67-73, Mar. 2021.
[https://doi.org/10.11003/JPNT.2021.10.1.67]
-
F. Wang, H. Tang, and J. Chen, "Survey on NLOS Identification and Error Mitigation for UWB Indoor Positioning", Electronics, Vol. 12, No. 7, Art. No. 1678, Apr. 2023.
[https://doi.org/10.3390/electronics12071678]
-
J. Liu, Z. Gao, Y. Li, S. Lv, J. Liu, and C. Yang, "Ranging Offset Calibration and Moving Average Filter Enhanced Reliable UWB Positioning in Classic User Environments", Remote Sensing, Vol. 16, No. 14, Art. No. 2511, Jul. 2024.
[https://doi.org/10.3390/rs16142511]
-
Y. Gu, A. Lo, and I. Niemegeers, "A Survey of Indoor Positioning Systems for Wireless Personal Networks", IEEE Communications Surveys & Tutorials, Vol. 11, No. 1, pp. 13-32, Mar. 2009.
[https://doi.org/10.1109/SURV.2009.090103]
-
L. Zhang, Z. Zhang, R. Siegwart, and J. J. Chung, "Distributed PDOP Coverage Control: Providing Large-Scale Positioning Service Using a Multi-Robot System", IEEE Robotics and Automation Letters, Vol. 6, No. 2, pp. 2217-2224, Apr. 2021.
[https://doi.org/10.1109/LRA.2021.3059625]
-
P. Sedlacek, M. Slanina, and P. Masek, "An Overview of the IEEE 802.15.4z Standard and Its Comparison to the Existing UWB Standards", Proc. 29th International Conf. Radioelektronika, Pardubice, Czech Republic, pp. 1-6, Apr. 2019.
[https://doi.org/10.1109/RADIOELEK.2019.8733537]
2020년 3월 ~ 현재 : 광운대학교 전자융합공학과 학사과정
관심분야 : 전자파 수치해석, EMI/EMC, 레이더 신호처리
2022년 2월 : 광운대학교 전자융합공학과(학사)
2024년 3월 ~ 현재 : 광운대학교 전자융합공학과 석사과정
관심분야 : 전자파 수치해석, EMI/EMC, 레이더 신호처리
2025년 2월 : 광운대학교 전자융합공학과(학사)
2025년 3월 ~ 현재 : 광운대학교 전자융합공학과 석사과정
관심분야 : 전자파 수치해석, EMI/EMC, 레이더 신호처리
2020년 3월 ~ 현재 : 광운대학교 전자융합공학과 학사과정
관심분야 : 전자파 수치해석, EMI/EMC, 레이더 신호처리
1989년 2월 : 경기대학교 전자계산학과(학사)
1991년 2월 : 인하대학교 전자계산 공학과(석사)
1997년 5월 : 전자계산조직응용 기술사
2007년 2월 : 충남대학교 통신공학과(박사)
1991년 2월 ~ 현재 : 국방과학연구소 수석연구원
관심분야 : 신호처리, 통신응용
2003년 2월: 서강대학교 전자공학과(학사)
2005년 2월 : 서강대학교 전자공학과(석사)
2011년 1월 : 서강대학교 전자공학과(박사)
2011년 1월 ~ 현재 : 국방과학연구소 전자전체계개발단 책임연구원
관심분야 : 전자전체계, 신호수집, 방향탐지
1989년 2월 : 서울대학교 전기공학과(학사)
1991년 2월 : 서울대학교 전기공학과(석사)
2000년 8월 : 서울대학교 전기공학부(박사)
2003년 3월 ~ 2006년 2월 : 명지대학교 통신공학과 조교수
2006년 3월 ~ 현재 : 광운대학교 전자융합공학과 교수
관심분야 : 전자파 수치해석 및 EMI/EMC, 레이더 신호처리











