
MPRF 레이다 시스템에서 일치 알고리즘을 이용한 모호성 제거 알고리즘에 관한 연구
초록
MPRF(Medium pulse repetition frequency) 레이다 시스템은 거리 및 도플러 모호성이 모두 존재하며, 이를 동시에 제거하기 위해 다중 PRF(Multiple PRF) 기법을 적용한다. 다중 PRF 기법은 M of N 스케쥴을 통해 탐지 기준을 결정하며, 총 PRF 파형들의 수(N)와 모호성을 풀기 위한 최소 PRF 파형 수(M)에 따라 모호성 제거 성능이 달라진다. 본 논문에서는 데이터 처리를 위한 방법으로 일치 알고리즘(Coincidence algorithm)을 적용하였으며, 일치 알고리즘의 기본적인 개념 및 구체적인 구현 방법을 기술하고 이를 바탕으로 모호성 제거 알고리즘을 구현하였다. 실제 환경에서 측정된 항공기 실표적 데이터를 이용하여 알고리즘 검증을 수행하였으며, 실제 표적을 안정적으로 탐지하는 것을 확인하였다. 또한, M of N 스케쥴을 분석한 결과 총 PRF 파형들의 수(N)는 최소 PRF 파형 수(M)의 두 배 이상 되어야 안정적인 탐지 성능을 확보할 수 있음을 확인하였다.
Abstract
Medium Pulse Repetition Frequency (MPRF) radar systems have both range and doppler ambiguities, and multiple PRF techniques are applied to eliminate them simultaneously. These techniques determine detection criteria through an M-of-N scheduling method, where ambiguity removal performance depends on the total number of PRF waveforms (N) and the minimum number of PRF waveforms (M) to resolve ambiguity. This paper applies a coincidence algorithm for data processing. The concept and implementation are described, and an ambiguity resolution algorithm is developed based on it. Verification using real aircraft target data confirms stable detection. Furthermore, analysis of the M-of-N schedule shows that N must be more than twice M for reliable detection.
Keywords:
medium pulse repetition frequency, coincidence algorithm, ambiguity resolving, radar signal controlⅠ. 서 론
레이다 시스템에서 사용하는 송신 파형은 레이다의 용도와 신호처리 방식에 따라 연속파(Continuous wave)와 펄스파(Pulsed wave)로 구분된다. 연속파를 사용하는 레이다 시스템은 구조가 간단하고 신호처리가 간편하다는 장점이 있지만, 거리 및 도플러 모호성이 존재하며 다중 표적 탐지 시 표적 구분이 어렵다. 반면, 펄스파를 사용하는 레이다 시스템은 구조와 신호처리가 복잡하지만, 거리 및 도플러 분해능이 높아 다중 표적 식별에 용이하다[1].
레이다의 탐지 성능에 영향을 미치는 파라미터 중 하나인 PRF는 펄스 반복 주파수(Pulse repetition frequency)를 의미하며, 크기에 따라 LPRF(Low PRF), HPRF(High PRF), MPRF(Medium PRF)로 구분된다. LPRF를 사용하는 레이다는 PRI(Pulse Repetition Interval)의 크기가 최대관심거리 영역보다 커서 거리 모호성이 없지만, 표적을 샘플링하는 속도가 낮아 도플러 모호성이 존재한다. HPRF를 사용하는 레이다는 PRF의 크기가 최대관심속도 영역보다 커서 도플러 모호성이 없지만, 거리 모호성이 존재한다[2]. 그 중간인 MPRF를 사용하는 레이다는 거리 및 도플러 모호성 둘 다 존재한다. 그럼에도 불구하고 MPRF 송신 파형을 사용하는 이유는, 두 가지 모호성을 동시에 해결할 수 있다면 많은 펄스를 누적하여 생기는 신호 전력의 이득을 얻을 수 있기 때문이다. 즉, MPRF는 거리와 도플러 모호성이 동시에 존재하지만, 이를 해결한다면 중간 정도의 전력과 PRF로 중단거리의 다중 표적을 동시에 탐지할 수 있다[1].
MPRF 레이다 시스템에서는 다중 PRF(Multiple PRF) 기법을 적용하여 거리 및 도플러 모호성을 동시에 해결한다. 다중 PRF 기법은 서로 다른 PRF 파형을 연속적으로 송신하고, 각각의 PRF에서 탐지된 표적 정보를 이용하여 모호성을 해결하는 기법이다. 이 기법에서 몇 개의 PRF를 운용할지, 몇 개 이상의 PRF에서 탐지된 표적을 이용할지 결정해야 하며, 이는 허위표적 발생 확률 및 표적 탐지 확률에 영향을 미친다[3][4].
종래의 모호성 제거 방법으로는 잔차 차이 룩업 테이블(Residues’ difference look-up table, LUT), 1차원 집합 알고리즘(One-dimensional set algorithm)이 있다[5][6]. 잔차 차이 룩업 테이블 방법은 측정 거리가 상대적으로 짧은 경우, look-up table을 이용하여 시각적 거리 차이를 기반으로 실제 표적 거리를 신속하게 비교할 수 있다. 하지만, 표적 거리가 증가함에 따라 저장 공간의 요구량이 커지고 속도가 저하되어 실시간 신호처리 요구사항을 만족하기 어려운 문제가 발생한다. 최소제곱법(Minimum square algorithm)으로도 알려진 1차원 집합 알고리즘은 거리와 속도 모호성을 동시에 해결할 수 있으며, 우수한 정확성과 높은 신뢰성을 제공한다. 하지만, 본 방법은 정렬 및 평균 제곱 편차 계산 과정을 포함하며, 표적 수가 증가함에 따라 계산 부하가 급격히 증가하여 실시간 처리 요구를 충족하는 데 어려움이 있다[7].
다중 PRF 기법을 이용하여 거리 및 도플러 모호성을 제거하는 방법으로는 중국잉여정리(Chinese remainder theorem)와 일치 알고리즘(Coincidence algorithm)이 있다[8]. 중국잉여정리는 거리 모호성을 제거하기 위한 대표적인 방법 중 하나로, 서로 다른 PRF에서 측정된 거리 정보를 이용하여 비모호 거리를 산출한다. 하지만, 측정 오차에 매우 민감하며, PRF간 서로소 조건을 만족해야 하므로, 거리 및 속도 모호성을 동시에 해소할 수 있는 PRF 조합을 구성하는 데 제약이 따른다[9]. 이러한 문제점을 보완하기 위해 클러스터링 기반 알고리즘이 제안되었지만,. 계산량이 많고 거리 또는 속도 모호성 중 하나만을 단독으로 제거할 수 있다는 한계를 지닌다[10][11]. 일치 알고리즘은 관심 영역 내에서 모든 가능한 거리 및 속도 모호성을 펼쳐 표현한 후, 복수의 CPI(Cohesive processing Interval)에 걸쳐 수집된 모호 데이터를 통합함으로써 실제 표적을 탐지한다. 하지만, 다수의 표적이 존재하는 환경에서는 허위 표적이 생성될 가능성이 존재하지만 거리와 속도 모호성을 동시에 해소할 수 있다는 장점이 있다. 이에 따라, 일치 알고리즘이 다중 PRF기법을 이용한 모호성 제거 시 가장 널리 사용되는 기법이다[12].
하지만, 대부분의 기존 논문에서는 일치 알고리즘의 기본 개념만을 기술할 뿐, 구체적인 구현 방법에 대해서는 충분히 설명하고 있지 않다. 또한, 클러터 및 잡음이 없는 단순한 플롯 모의를 통해 알고리즘의 성능을 검증하는 경우가 많다. 모호성 제거 알고리즘은 거리 및 속도 모호성을 해소하는 것뿐만 아니라 클러터 및 잡음과 같은 허위 표적을 실제 표적과 효과적으로 구분하는 능력 또한 갖추어야 한다.
따라서, 본 논문에서는 모호성 제거를 위한 일치 알고리즘의 기본적인 개념과 구체적인 구현 방법에 대해 기술하고, 이를 기반으로 모호성 제거 알고리즘을 구현하였다. 구현된 알고리즘을 활용하여 항공기 실표적 plot 데이터의 모호성 제거를 수행하였고, 클러터 및 잡음이 존재하는 실제 운용 환경에서 알고리즘 검증을 수행하였다. 또한, 모호성 제거 결과를 통해 M of N 스케쥴 운용에 따른 표적 탐지 성능을 분석하였다.
본 논문의 구성은 다음과 같다. 본문 2장에서는 레이다 PRF에 따른 특성과 MPRF 레이다에 대해 살펴보며, 3장에서는 일치 알고리즘의 기본적인 개념에 대해 기술한다. 4장에서는 실제 환경에서 측정된 항공기 표적 실데이터를 이용하여 모호성을 제거하고 M of N 스케쥴을 분석한다. 마지막으로, 5장에서 결론을 도출한다.
Ⅱ. 레이다 PRF
PRF는 Pulse Repetition Frequency(펄스 반복 주파수)의 약자로, 1초당 송신되는 Pulse의 수를 나타내며 펄스 레이다가 이동하는 표적에 대해 샘플링하는 속도를 의미한다[1]. PRF의 크기에 따라 LPRF(Low PRF), MPRF(Medium PRF), HPRF(High PRF)로 구분되며 거리 및 도플러 모호성이 다르게 존재한다[13]. 그림 1에 PRF의 종류에 따른 모호성을 내타내었다.
2.1 LPRF
LPRF 파형을 사용하는 레이다는 낮은 PRF로 이동 표적을 샘플링하며, 송신 펄스의 주기가 길다. 따라서, 고속으로 이동하는 표적에 대해 도플러 모호성이 존재하게 된다. 반면, 그림 1과 같이 마지막으로 보낸 송신 펄스에 대한 에코 신호가 다음 펄스를 송신하기 전에 들어오기 때문에 거리 모호성이 없다[1]. 즉, LPRF는 거리 탐지에는 유리하지만 도플러 탐지는 불리하다.
2.2 MPRF
MPRF 파형을 사용하는 레이다는 하나의 PRF에서 측정할 수 있는 거리 및 도플러가 제한되어 있기 때문에 표적의 측정 거리와 도플러에 대한 모호성이 동시에 존재하며, 이를 해결하기 위해 다중 PRF 기법을 사용한다[14]. 다중 PRF 기법은 M of N PRF 집합을 사용하며, 서로 다른 N개의 PRF들을 가지는 파형을 송신하고, M개 이상의 PRF에서 탐지된 표적 정보를 이용하여 모호성을 제거한다[15][16]. 서로 다른 PRF를 사용하면 허상(Ghost) 표적이 나타나는 거리 위치가 서로 다르게 나타나게 해주고, 실제 표적과의 거리를 구분하게 해준다[1].
2.3 HPRF
HPRF 파형을 사용하는 레이다는 그림 1과 같이, 이동하는 표적을 높은 PRF로 샘플링하므로, 송신 펄스의 주기가 짧아 고속으로 이동하는 표적에 대해 도플러 모호성이 없지만 거리 모호성이 존재하게 된다. 즉, HPRF는 도플러 탐지에는 유리하지만 거리 탐지는 불리하다.
Ⅲ. 일치 알고리즘
일치 알고리즘은 거리 및 도플러 모호성을 제거하기 위한 방법 중 하나로, 가장 널리 사용되는 알고리즘이며 표적이 탐지된 각각의 PRF에 대해 운용자가 설정한 최대관심거리 및 최대관심속도 영역 내에서 모든 모호 거리와 속도를 계산한다[8]. 기본적인 개념은 다음과 같다. M of N PRF 스케쥴을 운용하여 N개의 PRF로부터 획득된 측정치들을 PRI/PRF 정수배 간격으로 확장하고, 확장된 측정치가 M개 이상 일치하는 위치(cell)를 찾아 표적의 실제 표적 정보를 추출할 수 있다[14]. 본 절에서는 4 PRF 운용을 가정하여, 획득된 측정치들을 통해 거리 및 도플러 모호성을 제거하는 방법을 기술한다. 거리 모호성에 대한 수식은 아래와 같다.
| (1) |
| (2) |
여기서, Rx는 x번째 모호한 거리, x는 거리 모호성 차수, Ra는 표적이 탐지된 거리를 의미한다. Ru는 해당 PRI 내 거리(최대 모호 거리)를 의미하며 c는 빛의 속도를 의미한다. 그림 2와 같이, t는 펄스 송신 후 에코 신호가 들어올 때까지 시간, Tr은 펄스 반복 간격(PRI)을 의미한다.
실제 데이터의 탐지된 거리(Ra)와 최대 모호 거리(Ru)는 정수값이 아니지만 편의상 정수값으로 예를 들어 설명하면, 그림 3과 같이 PRF #1은 최대 모호 거리(Ru)가 68m, 표적이 탐지된 거리(Ra)가 49m이며, PRF #2는 최대 모호 거리(Ru)가 62m, 표적이 탐지된 거리(Ra)가 11m이다. 4개의 PRF로부터 획득된 측정치들을 PRI 정수배 간격으로 확장하고 일치하는 위치를 찾으면, 거리 321m에 실제 표적이 있다는 것을 알 수 있다.
도플러 모호성은 거리 모호성과 유사하게 서로 다른 PRF를 사용하여 제거할 수 있다. 도플러 구간이 주어질 때 실제 도플러 주파수는 아래와 같다[1].
| (3) |
여기서, fx는 실제 도플러 주파수, fa는 중첩으로 인한 도플러 변이 주파수, nD는 도플러 구간으로 양의 정수, 음의 정수, 제로가 될 수 있다[1].
모호성 제거 알고리즘의 전체적인 흐름은 다음과 같다. 먼저, 각각의 PRF에서 획득된 거리 측정치들을 PRI 정수배 간격으로 확장하고 거리 정렬을 수행한다. 이후, 오름차순으로 정렬된 거리 행렬들을 대상으로 슬라이딩 윈도우(Sliding window) 방식의 탐색을 수행하면서 특정 조건을 만족하는 거리 후보군을 생성한다. 마지막으로, 거리 후보군으로 묶인 plot 데이터들의 속도 확장 및 속도 정렬을 수행하고 같은 방식으로 탐색을 수행하여 최종적으로 모호성이 제거된 데이터를 획득한다. 이와 같이, 거리 모호성이 제거된 plot들에 대해서만 속도 모호성을 제거하면 클러터 및 잡음이 존재하는 데이터들 사이에서 허위 표적과 실제 표적을 효과적으로 구분할 수 있다. 이처럼, 일치 알고리즘은 측정치들을 확장한다고 하여 전개 알고리즘(Unfolding algorithm)으로 불리기도 한다[8].
Ⅳ. 실데이터를 이용한 처리 결과 분석
본 절에서는 앞서 기술한 방법으로 모호성 제거 알고리즘을 구현하였고, 이를 이용하여 항공기 표적 실데이터의 모호성 제거 결과를 분석하였다. 항공기 실표적 시험 시나리오는 표 1과 같고, 4 burst MPRF 탐지파형으로 운용하면서 2 of 4 PRF 정책까지 탐지하였다. 여기서, "partial plot"은 각각의 PRF로부터 획득한 측정치들을, "dwell plot"은 모호성에 제거된 plot을 의미한다.
표적 #1의 모호성 제거 결과는 그림 4와 같으며, 모호성이 제거된 plot들 중에서 partial plot이 묶인 개수에 따라 색상을 다르게 표시하였다. 그림 5와 같이, 거리 7.98km에서 침로 –29.7°, 속도 15.7m/s로 자함을 향해 inbound 하는 것을 탐지할 수 있었다. partial plot과 dwell plot을 같이 나타내었고, 대부분의 partial plot들이 거리 확장(unfolding)되기 이전에 dwell plot으로 묶였다.
그림 6과 같이, M of N PRF 분석을 수행하였고 그 비율은 4 of 4가 5.10%, 3 of 4가 26.9%, 2 of 4가 68.0%이며, 2 of 4 PRF가 가장 큰 비율을 차지했다. 즉, 모호성을 풀기 위한 최소 PRF 파형 수(M)를 고려했을 때, 2 of 4 PRF 정책까지 탐지하여야 안정적인 탐지 성능을 유지할 수 있다.
표적 #2의 모호성 제거 결과는 그림 7과 같으며, 모호성이 제거된 plot들 중에서 partial plot이 묶인 개수에 따라 색상을 다르게 표시하였다. 그림 8과 같이, 거리 18.5km에서 침로 –7.19°, 속도 12.1m/s로 자함을 향해 inbound 하는 것을 탐지할 수 있었다. partial plot과 dwell plot을 같이 나타내었고, 대부분의 partial plot들이 거리 확장(unfolding)되기 이전에 dwell plot으로 묶였다.
그림 9와 같이, M of N PRF 분석을 수행하였고 그 비율은 4 of 4가 0%, 3 of 4가 8.30%, 2 of 4가 91.7%이며, 2 of 4 PRF가 가장 큰 비율을 차지했다. 즉, 모호성을 풀기 위한 최소 PRF 파형 수(M)를 고려했을 때, 2 of 4 PRF 정책까지 탐지하여야 안정적인 탐지 성능을 유지할 수 있다.
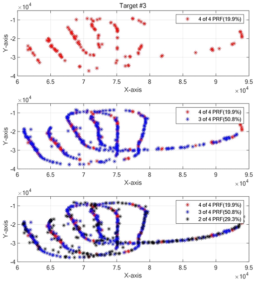
표적 #3의 모호성 제거 결과는 그림 10과 같으며, 모호성이 제거된 plot들 중에서 partial plot이 묶인 개수에 따라 색상을 다르게 표시하였다. 그림 11과 같이, 거리 64.6km 밖에서 고속 기동하는 것을 탐지할 수 있었다. 표적 #3의 경우 모든 partial plot들이 확장된 거리에서 묶여 그래프상에 dwell plot만 표시되었다.
그림 12와 같이, M of N PRF 분석을 수행하였고 그 비율은 4 of 4가 19.9%, 3 of 4가 50.8%, 2 of 4가 29.3% 이며, 3 of 4가 가장 큰 비율을 차지했다. 모호성을 풀기 위한 최소 PRF 파형 수(M)를 고려했을 때, 3 of 4 PRF 정책이 가장 큰 비율을 차지했지만 약 30%를 차지하는 2 of 4 PRF 정책까지 탐지하여야 안정적인 탐지 성능을 유지할 수 있다.
표적 #4의 모호성 제거 결과는 그림 13과 같으며, 모호성이 제거된 plot들 중에서 partial plot이 묶인 개수에 따라 색상을 다르게 표시하였다. 그림 14와 같이, 거리 235km 밖에서 측방향으로 이동하는 것을 탐지할 수 있었다. 표적 #4의 경우도 마찬가지로 모든 partial plot들이 확장된 거리에서 묶여 그래프상에 dwell plot만 표시되었다.
그림 15와 같이, M of N PRF 분석을 수행하였고 그 비율은 4 of 4가 18.2%, 3 of 4가 49.4%, 2 of 4가 32.4% 이며, 3 of 4가 가장 큰 비율을 차지했다. 모호성을 풀기 위한 최소 PRF 파형 수(M)를 고려했을 때, 3 of 4 PRF 정책이 가장 큰 비율을 차지했지만 약 32%를 차지하는 2 of 4 PRF 정책까지 탐지하여야 안정적인 탐지 성능을 유지할 수 있다.
Ⅴ. 결론 및 향후 과제
MPRF 파형을 사용하는 레이다 시스템은 신호전력의 이득과 다중 표적 탐지 측면에서 유리하지만 거리와 도플러 모호성이 동시에 존재하기 때문에 이를 위한 해결책이 필요하다. 두 가지 모호성을 동시에 제거하기 위해 다중 PRF 기법과 일치 알고리즘이 사용되며, 알고리즘 구현 방법 및 데이터 처리 방식에 따라 결과가 달라질 수 있다.
본 논문에서는 다중 PRF 기법과 일치 알고리즘을 사용하여 거리와 도플러 모호성을 동시에 제거하는 구현 방법을 기술하였다. 기술한 방법에 따라 구현한 알고리즘의 성능 평가를 위해 실제 환경에서 획득한 항공기 실표적 데이터를 이용하였고, 모호성을 제거한 결과 실제 표적을 안정적으로 탐지하는 것을 확인할 수 있었다. 또한, M of N 스케쥴 운용에 따른 표적 탐지 확률을 분석하였고, 2 of 4 PRF 정책까지 탐지하여야 안정적인 탐지 성능을 유지할 수 있음을 보였다.
본 논문을 통해 일치 알고리즘의 기본적인 개념을 바탕으로 모호성 제거 알고리즘을 구현하고, 실제 환경에서 획득한 실표적 데이터를 이용하여 모호성 제거 후 처리 결과를 분석하였다. 추후 연구를 통해 구현 과정에서 데이터 처리 방식에 따른 모호성 제거 성능의 영향성을 분석하고, 그에 따른 표적 탐지 성능의 개선 정도를 확인할 수 있을 것으로 생각한다.
References
- Y. G. Kwak, "Radar System Engineering principles and applications", GyoMunSa, pp. 378-388, 2017.
- J. H. Shin, C. H. Son, J. W. Yi, and Y. J. Byun, "A Method of Resolving Range/Velocity Ambiguity for Medium PRF Mode", Comprehensive Academic Conference the 40th Anniversary of the Establishment of the Agency for Defense Development, pp. 283-286, 2010.
-
A. M. Kinghorn and N. K. Williams, "The decodability of multiple-PRF radar waveforms", Radar 97, Conf. Publ, No. 449, pp. 544-547, Oct. 1997.
[https://doi.org/10.1049/cp:19971735]
-
C. M. Alabaster, E. J. Hughes, and J. H. Matthew, "Medium PRF radar PRF selection using evolutionary algorithm", IEEE Trans. Aerospace and Electronic Systems, Vol. 39, No. 3, pp. 990-1001, Jul. 2003.
[https://doi.org/10.1109/TAES.2003.1238751]
- M. Li and M. Li, "A high efficiency algorithm of PD radar for range ambiguity resolution based on the one-dimension method", Electronic Information Warfare Technology, Vol. 25, No. 5, pp. 22-25, 2010.
- S. Yichen, X. Baoqing, and L. Zhanghua, "A two-dimensional combined ambiguities resolution algorithm based on coherent accumulation for ground MPRF-PD radar", Fire Control Radar Technology, Vol. 50, No. 2, pp. 19-24, 2021.
-
M. Li, M. Li, and L. Zuo, "A high efficient range ambiguity resolution algorithm for PD radar base on one-dimensional set", Proc. International Conference on Graphic and Image Processing (ICGIP 2011), Cairo, Egypt, Vol. 8285, Oct. 2011.
[https://doi.org/10.1117/12.913747]
-
C. Alabaster, "Pulse Doppler Radar: Principles, Technology, Application", SciTech, pp. 270-273, 2012.
[https://doi.org/10.1049/SBRA024E]
-
K. N. Dinh, L. N. Van, T. N. Nhu, H. T. Vu, V. N. Hong, and D. L. Trung, "Ambiguity Resolution for Ground-based Pulse-Doppler Radars Using Multiple Medium PRF", ICSPS conference, Jiangsu, China, Nov. 2022.
[https://doi.org/10.1109/ICSPS58776.2022.00024]
-
G. Trunk and S. Brockett, "Range and Velocity Ambiguity Resolution", Record of the 1993 IEEE National Radar Conference, Lynnfield, MA, USA, pp. 146-149, Apr. 1993.
[https://doi.org/10.1109/NRC.1993.270476]
-
G. Trunk and M. W. Kim, "Ambiguity Resolution of Multiple Targets using Pulsed-Doppler waveforms", IEEE Transactions on Aerospace and Electronic Systems Papers, Vol. 30, No. 4, pp. 1130-1137, Oct. 1994.
[https://doi.org/10.1109/7.328789]
-
V. A. F. S. Rita and R. de C. Cunha, "Coincidence Algorithm for Doppler Ambiguity Resolution in Radars with Different PRF", ICSPS conference, Auckland New Zealand, pp. 159-163, Nov. 2017.
[https://doi.org/10.1145/3163080.3163086]
-
X. Lu, J. Shi, Y. Zha, and M. Fan, "Improvement of Range and Velocity Ambiguity Resolution for Multiple Targets in the Radar Sensor", IEEE ITOEC, Chongqing, China, Mar. 2025.
[https://doi.org/10.1109/ITOEC63606.2025.10968032]
-
S. W. Hong, B. L. Cho, K. C. Yoon, K. S. Kim, and C. H. Kim, "A Study on Selective MTI to Reduce the Error of Velocity Estimation for MPRF Radar System", Journal of KIIT, Vol. 20, No. 4, pp. 81-87, Apr. 2022.
[https://doi.org/10.14801/jkiit.2022.20.4]
-
T. H. Kim, E. H. Kim, and S. W. Lee, "Real-Time PRF Selection for Search/Track in MPRF Waveform Airborne Radar", JKIEES, Vol. 25, No. 10, pp. 1050-1061, Oct. 2014.
[https://doi.org/10.5515/KJKIEES.2014.25.10.1050]
-
T. H. Kim, J. Y. Park, J. H. An, J. H. Park, and Y. D. Kang, "Waveform Operation and signal Processing Design for Detecting Naval and Airborne Targets in Sea Surveillance Radar", JKIEES, Vol. 31, No. 5, pp. 456-467, May 2020.
[https://doi.org/10.5515/KJKIEES.2020.31]
2019년 2월 : 세종대학교 항공우주공학과(공학사)
2021년 2월 : 세종대학교 항공우주공학과(공학석사)
2021년 9월 ~ 현재 : 국방과학연구소 연구원
관심분야 : 레이다 신호제어 및 데이터 처리, 표적 추적처리
1998년 2월 : 경북대학교 전자공학과(공학사)
2001년 2월 : 경북대학교 전자공학과(공학석사)
2006년 2월 : 경북대학교 전자공학과(공학박사)
2011년 1월 ~ 현재 : 국방과학연구소 책임연구원
관심분야 : 레이다 통제 및 신호처리, 레이다 표적인식
2005년 2월 : 서울대학교 전기공학부(공학사)
2007년 2월 : 서울대학교 전기컴퓨터공학부(공학석사)
2024년 2월 : 서울대학교 융합과학기술대학원(공학박사)
2007년 2월 ~ 현재 : 국방과학연구소 책임연구원
관심분야 : 레이다, 표적 추적, 인공지능
2014년 8월 : 한동대학교 기계제어공학부(공학사)
2016년 8월 : 한국과학기술원 조천식녹색교통대학원(공학석사)
2017년 9월 ~ 현재 : 국방과학연구소 선임연구원
관심분야 : 레이다 신호 및 데이터 처리, 표적 추적처리, 분산시스템
















