Korean Institute of Information Technology
[ Article ]
The Journal of Korean Institute of Information Technology - Vol. 23, No. 9, pp.85-95
ISSN: 1598-8619 (Print) 2093-7571 (Online)
Print publication date 30 Sep 2025
Received 25 Jun 2025 Revised 08 Aug 2025 Accepted 11 Aug 2025
DOI: https://doi.org/10.14801/jkiit.2025.23.9.85

실린더형 HE 탄두의 파편 생성 모델 설계 및 구현

김송현* ; 이문식* ; 강순부** ; 이길영*
*공군사관학교 교수
**국방무기체계분석연구소
*공군사관학교 교수(교신저자)
Design and Implementation of Fragmentation Models for Cylindrical HE Warheads
Songhyon Kim* ; Moon-Shik Lee* ; Sunbu Kang** ; Gil-Young Lee*

Correspondence to: Gil-Young Lee Dept. of Electronics and Communications Engineering, Republic of Korea Air Force Academy, P.O.Box 335-2, Danjaero 635, Namil, Chungbuk, 28187, Republic of Korea Tel.: +82-43-290-6564, Email: gylee@afa.ac.kr

초록

무기체계 개발에서 위협 무기에 의한 피해 가능성 평가는 신뢰성 있는 모델링 및 시뮬레이션(M/S) 도구를 통해 수행된다. 본 연구는 실린더형 고폭(HE) 탄두의 파편 생성을 정밀하게 모사하기 위한 수학적 모델과 알고리즘을 제안하였다. 고가 상용 소프트웨어의 한계를 극복하고자, 탄두 표면에 파편을 최적화된 방식으로 배치하고, 위치 좌표, 발사 방향, 속도, 질량 등 주요 데이터를 M/S 도구에서 활용 가능하도록 구성하였다. 또한 파편 분포의 공간 균일성을 정량화하기 위해 균일성 지수(UI)를 새롭게 정의하고, 본 모델과 랜덤 배치 기준을 비교한 실험을 통해 UI 값이 최대 12배 개선됨을 확인하였다. 실제 위협 무기 4종에 대한 시뮬레이션을 통해 모델의 정확성과 실용성도 입증하였다.

Abstract

In the development of weapon systems, evaluating potential damage from threat weapons is typically conducted using reliable Modeling and Simulation (M/S) tools. This study proposes a mathematical model and algorithm to accurately simulate the fragmentation behavior of cylindrical High-Explosive (HE) warheads. To overcome the high cost of commercial software, the model optimally arranges fragments and provides key data—spatial coordinates, launch vectors, velocity, and mass—usable in M/S tools. A novel Uniformity Index (UI) is introduced to quantify spatial uniformity. Experimental comparisons with random placement show that the proposed model achieves up to 12 times better UI values. Simulations with four real-world threat weapons validated the model’s accuracy and practical applicability.

Keywords:

fragmentation model, high-explosive warhead, modeling and simulation, uniformity index

Ⅰ. 서 론

현대 전장에서 전투기와 같은 주요 방위 자산의 생존 가능성을 정밀하게 평가하는 것은 매우 중요한 과제이다[1][2]. 특히 러시아-우크라이나 전쟁과 같은 최근의 현대적 전투 사례들은 위협 무기에 의한 고가치 표적의 피파괴 확률 평가가 작전 수행과 자산 보호에 얼마나 중요한지를 잘 보여주고 있다. 그러나 전투기와 같은 고가치 자산에 대해 실제 위협 무기를 사용한 실험은 비용과 안전 측면에서 현실적으로 어려우므로, 신뢰성 높은 모델링 및 시뮬레이션(M/S, Modeling and Simulation) 도구를 활용한 분석이 필수적이다[3].

이러한 M/S 도구의 신뢰성은 위협 무기의 특성을 반영한 파편 데이터의 정확성에 크게 좌우된다. 특히 고폭형(HE, High-Explosive) 위협 무기의 폭발로 형성되는 파편은 목표물의 손상 여부를 결정하는 핵심 요소이므로, 파편의 형성 및 운동 특성을 정확히 모델링하는 것은 매우 중요한 문제이다. SPLIT-X[4]와 같은 전문가용 파편 모델링 소프트웨어는 높은 비용과 복잡한 사용 방식으로 인해 활용에 어려움이 있다[5].

본 연구는 이러한 한계를 극복하기 위해, 특히 실린더형 HE 탄두를 대상으로 파편의 형성과 운동 특성을 효과적으로 모사하는 실용적인 파편 생성 모델을 설계하고 구현하는 데 목적이 있다. 제안 모델은 탄두의 설계 제원을 기반으로 파편을 배치하고, 위치 좌표 및 발사 방향 벡터 등 M/S 도구에서 직접 활용 가능한 형태의 데이터를 생성하도록 설계한다.

본 논문의 구성은 다음과 같다. 2장에서는 기존 관련 연구를 검토하고, 3장에서는 본 연구에서 제안하는 파편 생성 모델의 세부 내용을 설명한다. 4장에서는 실험을 수행하여 결과를 분석하고, 마지막으로 5장에서 결론을 제시한다.


Ⅱ. 관련 연구

파편 생성은 탄두가 폭발 시 발생하는 주요 현상으로, 특히 고폭형 탄두에서는 파편의 분포 특성이 목표물에 대한 피해 정도를 결정짓는 중요한 요소이다. D. E. Carlucci and S. S. Jacobson[6]은 탄두 폭발로 인한 파편 분포 특성을 수학적으로 모델링하여 다양한 탄두 형상에 따른 파편 분포 패턴을 분석하였다. 이 연구는 파편의 공간적 분포 및 에너지 전달 특성을 체계적으로 설명하여 후속 연구의 기초가 된다.

P. Elek et al.[7][8]은 고폭탄두의 파편 운동을 정밀하게 예측하기 위해, 상용 유한요소 해석 프로그램인 Abaqus/Explicit를 활용한 수치 모델을 제안하였다. 이들은 특히 CEL(Coupled Eulerian-Lagrangian) 기법을 적용하여, 폭발 생성물과 파편 간의 유체-구조 상호작용을 효과적으로 모사하였으며, 단일 종단(Single end), 중앙, 이중 종단(Dual end) 등의 다양한 기폭 조건을 적용한 시뮬레이션 결과를 실험 데이터와 비교하였다. 이 연구는 복잡한 파편 생성 메커니즘을 모델링함에 있어 유한요소 기반 수치해석의 타당성과 유용성을 잘 보여준다.

파편 생성 모델링을 지원하는 대표적인 소프트웨어로는 SPLIT-X[4]와 FRAGPROP[9]이 있다. SPLIT-X는 탄두의 기하학적 정보(길이, 지름, 폭발물 종류, 케이스 두께 등)를 입력받아 파편의 개수, 질량 분포, 형상 및 초기속도 분포를 통계적으로 모델링하여 제공한다. 특히 SPLIT-X는 몬테카를로 시뮬레이션 방식을 사용하여 탄두 파편의 특성을 확률론적으로 예측하며, 탄두의 설계 변경이 파편 특성에 미치는 영향을 빠르게 분석할 수 있다. 그러나 라이선스 비용이 높고 사용자 인터페이스가 복잡하여 실무 적용에 제약이 있다. FRAGPROP은 탄두의 폭발 특성을 분석하여 파편의 분포를 예측할 수 있는 분석 도구로, 파편의 초기 위치와 속도 데이터를 비교적 정확히 제공하지만 복잡한 실험 데이터를 요구하는 한계가 있다.

기존 연구들은 파편 형성에 대한 수학적 모델링과 시뮬레이션 기반 접근법을 제안하지만, 복잡성 및 비용 문제로 인해 실제 M/S 도구와의 효율적인 연계 측면에서 한계를 드러낸다. 본 연구는 실린더형 HE 탄두에 특화하여, 보다 실용적이고 직관적인 파편 생성 모델을 설계하고 구현하는 데 초점을 맞추고 있다.


Ⅲ. 제안 모델

실린더형 탄두에 대한 파편 생성 모델을 설계하기 위해서는 탄두 길이(L), 탄두 직경(D), 총 파편 개수(N), 탄두 무게(W), 파편의 총 무게(Wf) 등에 대한 정보가 필요하다. 또한, 본 논문에서는 성형 파편만을 대상으로 하며, 파편의 모양은 큐브 형태라고 가정한다.

본 논문에서 제안하는 모델은 두 단계로 이루어진다. 1단계는 파편 배치 단계이고, 2단계는 파편 데이터 생성 단계이다. 3.1절과 3.2절에서 각 단계별 세부내용을 자세히 설명한다.

3.1 파편 배치

파편 배치 단계는 탄두 제원을 기반으로 탄두에 파편을 배치하는 단계이며, 전체적인 흐름은 그림 1과 같다.

Fig. 1.

Fragment placement flowchart (a) Warhead coordinates (b) Initial fragment placement calculation (along the X-axis and in the Y-Z plane) (c) Adjustment of placement by truncating decimal values (d) Final refinement of fragment distribution

그림 1(a)에서 보는 바와 같이, 탄두 좌표는 탄두가 날아가는 방향을 X축으로 설정한다. 본 논문은 실린더형 탄두를 대상으로 하므로, 그림 1(b)와 같이 탄두를 전개하여 2D 평면으로 변환할 수 있다. 이때, X축 방향을 높이 방향, Y-Z평면 방향을 너비 방향이라고 부른다. 파편을 균등하게 배치하기 위해 먼저 탄두의 표면적을 계산하고, 이를 총 파편 개수로 나누어 개별 파편의 면적을 결정한다. 파편의 모양을 큐브 형태로 가정하였으므로 개별 파편을 정사각형으로 가정하여, 한 변의 길이를 도출한 다음, 그림 1(b)와 같이 높이(X축) 방향과 너비(Y-Z평면) 방향으로 배치할 파편 개수를 구한다. 이때, 높이 방향은 여러 개 층(layer)으로 나뉘며, 각 층에 파편을 배치하게 된다. 이 과정에서 높이 방향 층수 또는 너비 방향 파편 개수에 소수점이 발생할 수 있으므로, 적절한 조정 방안을 선택하여 배치를 최적화해야 한다. 파편 배치 단계에서 사용되는 주요 수식은 다음과 같다.

3.1.1 탄두 표면적 계산

탄두의 표면적(A)은 원통형 표면을 직사각형으로 변환하여 식 (1)과 같이 계산한다.

A=π×D×L(1) 
3.1.2 개별 파편 크기 계산

각 파편의 면적(Af)과 한 변의 길이(Lf)는 식 (2)와 같이 계산한다.

Af=AN, Lf=Af(2) 
3.1.3 초기 파편 배치 계산 (높이 방향, 너비 방향)

각 축 방향으로 배치해야 할 파편 개수를 식 (3)과 같이 실수 형태로 계산한다. 높이 방향은 층(layer)의 개수(Nh)로 표현하고, 너비 방향은 파편 개수(Nw)로 나타낸다.

Nh=LLf,  Nw=πDLf(3) 
3.1.4 배치 조정(소수점 제거)

소수점을 정수로 변환하여 최적의 조합을 선택한다. 조정된 높이 방향 층수(Nh)와 너비 방향 파편 개수(Nw)를 식 (4)와 같이 결정한다. 이때, 우선 높이 방향에 대해 층수를 조정(올림 또는 내림 중에서 조정의 폭이 작은 경우를 선택)하고, 너비 방향 파편 개수를 결정한다.

Nh=Nh,if Nh-Nh<Nw-NwNh,otherwise Nw=Nw,Nh×NwNNw,otherwise(4) 
3.1.5 파편 개수 정산

총 파편 개수와 맞추기 위해 추가하거나 제거해야 할 파편 개수(ΔN)를 식 (5)와 같이 계산한다. ΔN > 0이면 파편을 추가 배치해야 하고, ΔN < 0이면 일부 파편을 제거해야 한다는 의미이다.

ΔN=N-Nh×Nw(5) 

파편 배치 단계를 실행하고 나면, 최종적으로 다음의 계산 결과를 반환하며, 파편 데이터 생성 단계에서 사용된다.

  • ∙파편 한 변 길이 (Lf)
  • ∙최적의 층수 및 너비 방향 파편 배치 개수 (Nh, Nw)
  • ∙추가하거나 제거해야 할 파편 개수 (ΔN)

지금까지 설명한 파편 배치 단계를 알고리즘으로 나타내면, 알고리즘 1과 같다. 알고리즘 1을 좀 더 자세히 살펴보면, 탄두 길이(L), 탄두 직경(D), 총 파편 개수(N)을 입력값으로 받은 다음, 탄두의 표면적을 계산하고(line 1), 파편의 한 변 길이(Lf)를 계산한다(line 2). 다음으로, 초기 파편 배치를 계산하고(line 3), 배치를 조정한다(line 4). 최종적으로 조정해야 할 파편 개수를 계산하여(line 5), 파편 한 변 길이(Lf), 높이 방향 최적 파편 배치 층수(Lh), 너비 방향 최적 파편 배치 개수(Nw), 조정해야 할 파편 개수(ΔN)를 반환한다.

Placement of fragments

3.2 파편 데이터 생성

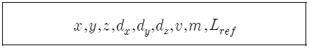
파편 데이터 생성 단계에서는 파편 배치 단계(3.1절)에서 반환한 정보를 기반으로 M/S 도구의 입력값으로 사용될 파편 데이터를 생성한다. 본 논문에서는 AVAL을 M/S 도구로 지정한다. AVAL에서 요구하는 파편 데이터 포맷은 그림 2와 같다. 그림 2에서 x,y,z는 탄두 표면에 배치되는 각 파편의 초기 위치를 나타내고, dx,dy,dz는 파편의 발사 방향 벡터를 나타낸다. 또한, v,m,Lref는 각각 파편의 발사 속도, 질량, 참조 길이를 나타낸다.

Fig. 2.

Fragment data format (AVAL)

파편 데이터 생성 단계의 세부적인 내용은 다음과 같다.

3.2.1 파편 배치 확인 및 개수 조정

탄두는 실린더형 구조를 가지며, 파편은 여러 개의 층(layer)으로 나뉘어 배열된다. 각 층에는 정해진 개수의 파편이 배치되며, 원형 대칭성을 유지하도록 배열된다. 본 연구에서는 높이 방향 층수 Nh, 그리고 각 층당 파편 개수 Nw를 계산하고, 만약 총 파편 개수 N를 고려하여 Nh×NwN인 경우 층을 적절히 선택하여 층별로 파편을 추가하거나 제거한다. 조정 과정은 다음과 같다.

  • ∙차이 개수 ΔN을 확인한다.
  • ∙조정해야 할 층을 선택한다. 이때, ΔN2개는 탄두의 높이 방향 아래쪽에서, Nh-ΔN2개는 위쪽에서 선택한다.
  • ∙선택된 층에서 파편을 1개씩 추가하거나 제거하여, 배치된 파편의 총 개수가 N이 되도록 한다.
  • ∙최종적으로, 각 층별 조정된 파편 배치 개수(Niwi=0Nh-1)를 확정한다.

예를 들어, ΔN이 -2일 때, 그림 1(d)에서 보는 것처럼 높이 방향으로 제일 아래층과 제일 위층에서 파편을 각각 1개씩 제거하여 파편 총 개수를 맞춘다.

3.2.2 파편의 위치 좌표

각 파편의 위치 (x,y,z)는 구면 좌표계를 활용하여 계산된다. 탄두 높이 방향을 따라 균일하게 분할된 층으로 나누어지고, 각 층의 원주 방향(Y-Z평면 방향)으로 파편이 균일하게 분포된다. 따라서, x좌표는 층의 중심에 해당하며, yz좌표는 원형 대칭성을 유지하며 배치된다.

각 층의 높이 방향 위치(xi)는 식 (6)과 같이 계산된다. 여기서 Cx는 탄두의 X축 보정값을 의미하는데, 위협 무기의 전체 길이에서 탄두의 시작 위치를 설정하기 위한 용도이다.

xi=i+0.5×LNh+Cx,  i=0,1,,Nh-1(6) 

i-번째 층에서의 파편 배치 각도 ϕij식 (7)과 같이 결정된다. 여기서 Niwi-번째 층에서의 조정된 파편 배치 개수를 의미한다.

ϕij=360Niw×j,  j=0,1,2,,Niw-1(7) 

이를 통해, 각 층에서의 Y축과 Z축 방향 위치(yij,zij)는 식 (8)과 같이 계산된다.

yij=D2cosϕij, zij=D2sinϕij(8) 
3.2.3 파편의 방향 벡터

탄두가 폭발할 때, 각각의 탄두는 신관으로부터의 위치와 분사각(spray angle, α)에 따라 정해진 발사 방향을 가지게 된다. 파편의 방향 벡터는 두 가지 각도(θ,ϕ)를 이용하여 구한다. 여기서 방사각(elevation angle, θ)은 탄두의 X축과 이루는 각도로, 그림 3(a)에서 표현된 분사각 α를 바탕으로 수식 (10)에 의해 계산된다. 이것은 파편이 배치된 층의 위치에 따라 선형적으로 변화하며, 최소 각도 90° - α에서 최대 각도 90° + α까지 분포한다. 방위각(azimuth angle, ϕ)은 Y-Z평면에서의 각도를 의미한다. 그림 3(a)는 분사각과 방사각을, 그림 3(b)는 방위각을 표현한 것이다.

Fig. 3.

Spray angle, elevation angle, and azimuth angle (a) Spray angle α, radiation angle θ (b) Azimuth angle ϕ

i-번째 층에서의 각 파편의 방향 벡터(Dij)는 식 (9)와 같이 표현된다.

Dij=dx,ijdy,ijdz,ij=cos θisin θicos ϕijsin θisin ϕij(9) 

여기서 θi식 (10)과 같이 계산하고, ϕij식 (7)과 동일하다.

θi=90+α-i2αNh-1,i=0,1,,Nh-1(10) 
3.2.4 속도, 질량 및 참조 길이 설정

각 파편의 속도 v는 Gurney 방정식[10]으로 계산한다. Gurney 방정식은 폭발물 공학에서 주로 사용하는 실험적 방정식으로, 폭약의 폭발로 추진되는 파편의 초기 속도를 예측하는 데 쓰인다. 질량 m은 위협 무기의 재질과 파편의 크기에 따라 결정된다. 본 연구에서 사용된 파편의 속도와 질량 값은 기존 연구에서 널리 사용되는 Gurney 방정식 및 유사 탄두의 실험 데이터를 참고하여 설정하였다. 참조 길이 Lref는 파편의 특성을 정량화하는데 사용되는 기준 길이를 나타내는데, 여기서는 유효 직경(equivalent diameter)을 의미한다. 유효 직경은 일반적으로 동일한 부피(V)를 갖는 구(sphere)의 직경(Ds)을 의미한다. 즉, 파편의 에너지 분석을 위해 큐브 형태의 파편을 동일한 부피를 가지는 구로 변환한다. 변환을 위한 수식은 식 (11)식 (12)와 같다.

V=Lf3=43πr3,  r=34πLf313(11) 
Lref=Ds=2r=234πLf3131.113×Lf(12) 

즉, 큐브 형태의 파편 한 변의 길이(Lf)에 1.113을 곱하면 동일한 부피를 갖는 구의 직경(Ds)과 같고, 이 값이 참조 길이(Lref)가 된다.

최종적으로, 한 개의 파편은 그림 2와 같이 한 행의 파편 데이터로 표현되며, 이는 시뮬레이션을 위한 입력값으로 사용된다.

이 절에서 설명한 파편 데이터 생성 단계를 알고리즘으로 표현하면 알고리즘 2와 같다. 알고리즘 2를 좀 더 자세히 살펴보면, 탄두 길이(L), 탄두 직경(D), 총 파편 개수(N), 파편 배치 층수(Nh), 층별 파편 배치 개수(Nw), 분사각(α), X축 보정값(Cx), 사전에 계산된 파편의 속도(v), 질량(m), 참조 길이(lref)를 입력값으로 받은 다음, ΔN을 확인하여 각 층별로 배치해야 할 파편 개수를 조정한다(line 1). 그리고, 각 층별로 x값과 방사각(θ)을 구한다(line 3-4). 이들 값을 사용하여, 해당 층에서 각 파편의 위치, 방향 벡터를 구한 다음(line 7-8), 데이터 파일에 추가한다(line 9).

Data generation of fragments


Ⅳ. 실험 및 결과 분석

본 장에서는 제안된 파편 생성 모델을 검증하기 위한 실험 결과를 제시하고, 모델의 유효성을 다각도로 분석한다. 먼저 가상의 탄두에 대해 파편 배치를 실행하여 모델의 기본 성능을 평가하고, 이후 실제 탄두에 적용한 사례를 통해 실용성을 검증한다. 마지막으로, 생성된 데이터를 AVAL 시뮬레이션에 적용하여 유용성을 확인한다.

4.1 균일성 지수 정의

본 논문에서는 탄두 표면에 파편이 얼마나 균등하게 배치되었는지를 정량적으로 평가하기 위하여 균일성 지수(UI, Uniformity Index)를 정의한다. 다음의 단계별 절차를 수행하면 균일성 지수를 계산할 수 있다.

4.1.1 파편 간 거리 계산 (유클리드 거리)

각 파편의 위치 좌표 (xi,yi,zi)를 이용하여 두 파편 간의 거리를 유클리드 거리(Euclidean distance)로 식 (13)과 같이 계산한다. diji-번째 파편과 j-번째 파편 간의 거리이다.

dij=xi-xj2+yi-yj2+zi-zj2(13) 
4.1.2 i-번째 파편과 j-번째로 가까운 파편 간 거리

모든 dij(단, ij)를 계산하되, 오름차순으로 정렬하여 그 중 j-번째로 작은 값 di(j)식 (14와 같이 정의한다.

dij=sortdijjij(14) 
4.1.3 파편의 평균 k-NN 거리

파편 i의 평균 k-NN 거리 dik와 전체 파편의 평균 k-NN 거리 d-k식 (15)와 같이 정의한다.

dik=1kj=1kdij,  d¯k=1Ni=1Ndik(15) 
4.1.4 표준편차 계산

전체 파편의 평균 k-NN 거리에 대한 표준편차 σ(k)식 (16)과 같이 계산한다.

σk=1Ni=1Ndik-d-k2(16) 
4.1.5 균일성 지수(UI) 산출

최종적으로 균일성 지수(UI)를 식 (17)과 같이 정의한다.

UIk=σkd¯k(17) 

UI 값이 작을수록 파편이 균일하게 배치되었음을 의미한다.

4.2 가상 탄두에 대한 파편 배치 분석

가상의 탄두에 대한 파편 배치 결과를 균일성 지수를 기준으로 분석한다. 가상의 탄두 제원은 다음과 같다. 탄두 길이는 0.109m, 탄두 직경은 0.023m, 총 파편 개수는 318개이다. 그림 4는 파편을 랜덤하게 배치한 결과(a)와 본 논문에서 제안한 파편 배치 모델을 적용한 결과(b)를 시각화 한 것이다. 시각적으로 볼 때, 그림 4(b)의 파편이 균등하게 배치된 된 것을 확인할 수 있다.

Fig. 4.

Fragment placement results of virtual warheads

그림 5는 균일성 지수를 활용하여 랜덤하게 배치한 결과(Random)와 본 논문에서 제안한 방법을 적용한 결과(Proposed)를 비교한 것이다. k를 1부터 10까지 적용했을 때, 모든 구간에서 본 논문에서 제안한 방법의 균일성 지수가 작음을 확인할 수 있다. 파편이 탄두 표면에 배치되고, 탄두의 양 끝 층에도 배치되는 것을 고려했을 때, k값이 3일 때의 UI를 기준으로 파편 분포의 균등성을 비교하는 것이 가장 적절하다. 왜냐하면, 파편이 균등하게 배치되어 있더라도, k값이 증가함에 따라 UI도 증가할 수밖에 없기 때문이다.

Fig. 5.

UI comparison: Random vs. Proposed

4.3 실제 탄두 적용 사례

이 절에서는 제안 모델의 성능을 평가하기 위하여 네 가지 실제 위협 무기를 대상으로 파편 데이터를 생성하고, 시각화를 통해 결과를 분석한다. 또한, 실제 M/S 도구에서 사용한 사례를 통해 제안 모델의 유용성을 검증한다.

표 1은 네 가지 위협 무기에 대해 본 논문에 필요한 제원을 발췌하여 정리한 것이다. 필요한 무기 체계의 제원은 탄두 길이, 탄두 직경, 총 파편 개수, 파편당 무게, 파편 속도, 분사각, X축 보정값이다.

Warhead specifications

위협 무기의 제원은 무기체계의 성능과 직결되므로, 외부로 공개되지 않는 경우가 많다. 따라서 본 논문에서는 표 1에서 보는 것처럼, 각각의 위협 무기에 대해 가명을 부여하고, 공개되지 않은 데이터는 추정치를 사용하였다. 본 논문의 목적이 주어진 탄두 제원을 기반으로 파편 데이터를 생성하는 것이므로, 추정치를 사용하더라도 제안 모델의 성능을 평가하는 데는 영향이 없다.

제안 모델의 1단계인 파편 배치 단계의 실행 결과는 표 2와 같다. 표 2를 좀 더 자세히 살펴보면, W-1은 탄두 표면에 높이(X축) 방향으로 64개의 층을 배치하고, 너비(Y-Z 평면) 방향으로 125개의 파편을 배치해야 한다. W-1의 총 파편 개수는 표 1에서 보는 것처럼, 8,000개이고 제안 모델의 결과인 64개의 층수와 층당 125개의 파편을 배치하게 되면, 총 파편 개수와 동일한 값을 얻게 된다(64 × 125 = 8,000). 따라서, W-1은 파편 배치를 세부적으로 조정할 필요가 없다. 파편 한 변의 길이는 0.012566m로 계산되었다.

Results of the fragment placement phase

한편, W-2의 파편 배치 전략은 24개의 층, 층당 33개의 파편을 배치하되, 17개의 파편을 제거하는 세부 조정을 해야 한다. 즉, X축 방향의 층에서 ΔN2개에 해당하는 0번째 층에서 7번째 층까지 층별로 파편을 1개씩 제거하고, Nh-ΔN2개에 해당하는 15번째 층에서 23번째 층까지 각 층별 파편을 1개씩 제거해야 한다(층 번호는 0번부터 시작한다).

제안 모델의 데이터 생성 단계를 평가하기 위하여 시각화를 통해 분석하였다. 그림 6은 네 가지 위협 무기별로 탄두에 파편을 배치한 결과를 시각적으로 나타낸 것이다. W-2, W-3 및 W-4는 층별로 파편 개수를 세부 조정하였기 때문에 일부 층에서 파편의 위치가 나란하지 않음을 확인할 수 있다.

Fig. 6.

Positions of fragments placed on warhead surfaces

표 3은 위협 무기별 균일성 지수를 계산한 결과이다. 네 가지 위협 무기 모두 균일성 지수가 매우 작으므로, 파편이 균일하게 배치되었음을 확인할 수 있다. 특히, 파편 배치를 별도로 조정하지 않은 W-1의 균일성 지수가 가장 작음을 확인할 수 있다

Uniformity Index for each threat weapon

그림 7(a)는 위협 무기 W-4의 탄두에 배치된 파편의 발사 방향 벡터를 나타낸 것이다. 파편의 x좌표값이 작을수록(즉, 낮은 층으로 갈수록) 방사각(θ)이 커지고, x좌표값이 커질수록(즉, 높은 층으로 갈수록) 방사각(θ)이 작아지는 것을 확인할 수 있다.

Fig. 7.

Fragment launch direction vectors of W-4 (a) Along the X-axis (b) Radiation angle heatmap

그림 7(b)는 위협 무기 W-4에서 파편의 방사각을 heatmap으로 나타낸 것이다. 방사각은 최소 80도에서 최대 100도까지를 보여주며, 이는 표 1에서 기술된 W-4의 분사각인 ±10도와 정확히 일치함을 확인할 수 있다. 또한, 그림 7(a)와 동일한 결과임을 확인할 수 있다.

마지막으로, 그림 8은 W-3의 파편 데이터를 AVAL의 입력값으로 사용하여 시뮬레이션한 결과를 시각화 한 것이다. AVAL은 위협 무기 자체의 이동 속도를 고려하기 때문에 파편이 전체적으로 위협 무기의 비행 방향으로 발사되는 것을 볼 수 있으며, 파편 중 일부는 항공기 기체를 타격하였음을 확인할 수 있다.

Fig. 8.

Visualization of the AVAL simulation (a) Front (b) Right (c) Left (d) Rear


Ⅴ. 결 론

본 연구에서는 실린더형 고폭(HE) 탄두에서 발생하는 파편 데이터를 효율적으로 생성하기 위한 실용적이고 정확한 수학적 모델 및 알고리즘을 설계하고 구현하였다. 특히, 기존 상용 소프트웨어의 높은 비용과 사용 복잡성 문제를 극복하기 위해 제안된 본 모델은 탄두 표면에 파편을 최적화된 형태로 배치하여 위치 좌표, 발사 방향 벡터, 속도, 질량 및 참조 길이와 같은 필수 데이터를 M/S 도구에 직접 활용 가능한 형태로 제공하였다.

본 연구의 주요 성과는 다음과 같다. 첫째, 파편의 배치를 최적화하는 과정을 수학적 알고리즘으로 명확히 정의하고 구현하였다. 둘째, 균일성 지수(Uniformity Index, UI)를 새롭게 제안하여 파편 배치의 균일도를 객관적으로 평가할 수 있는 방법을 제공하였다. 실험 결과, 제안된 모델은 랜덤 방식 대비 현저히 낮은 UI 값을 보였으며, 이를 통해 파편의 공간적 균일성이 우수함을 입증하였다. 셋째, 실제 위협 무기 네 가지 사례에 대한 데이터 생성 및 AVAL 시뮬레이션 연계를 통해 제안 모델의 실질적인 응용 가능성과 정확성을 확인하였다.

그러나 본 연구는 몇 가지 한계를 가지고 있으며, 이를 향후 연구에서 보완할 필요가 있다. 첫째, 파편 모양을 큐브 형태로 단순화한 가정이 실제 파편 형상과 다를 수 있어 현실적인 정확성을 제한할 수 있다. 따라서 후속 연구에서는 실제 실험 데이터를 기반으로 파편 형상에 대한 현실적 모델링을 수행할 필요가 있다. 둘째, 본 연구에서는 파편의 속도와 질량을 주어진 값으로 가정하였으나, 향후 다양한 탄두 재질과 폭약 특성을 반영하여 파편 속도 및 질량을 정확히 예측할 수 있는 실험적 방법론이나 이론적 모델 개발이 필요하다. 마지막으로, 파편 배치 및 모델의 성능 평가에서 통계적 유의성 분석을 추가하여 결과의 신뢰성을 더욱 강화할 필요가 있다.

본 연구에서 개발된 모델과 방법론은 향후 무기체계 생존성 분석 및 위협 평가 분야에서 광범위하게 활용될 것으로 기대되며, 상기 한계점을 지속적으로 개선하여 군사적 위협 평가의 신뢰성 향상에 기여할 것이다.

References

  • W. Willinger, M. S. Taqqu, and A. Erramilli, "The Fundamentals of Aircraft Combat Survivability Analysis and Design", AIAA Education Series, pp. 1-10, Mar. 2003.
  • Y. Y. Cho, G. U. Choi, C. H. Oh, S. H. Yang, and C. K. Kim, "Applications of Directional Fragmentation Warheads to Enhance Capability to Counter Small, High-speed Targets for Medium/Large Surface Ships", Journal of the KNST, Vol. 6, No. 1, pp. 78-83, 2023. [https://doi.org/10.31818/JKNST.2023.03.6.1.78]
  • K. Niemeyer, "Modeling and Simulation in Defense", Information & Security: An International Journal, Vol. 12, pp. 19-42, Jan. 2003. [https://doi.org/10.11610/isij.1201]
  • Numerics GmbH, "SPLIT-X Fragmentation Software", https://numerics.de/products/SPLIT-X/, . [accessed: Mar. 25, 2025].
  • I.-S. Jeon, H.-S. Yoo, and S.-T. Chung, "Performance Analysis and Improvement of TWTA for Surveillance Radar Using Modeling & Simulation", The Journal of Korean Institute of Information Technology, Vol. 14, No. 4, pp. 25-35, 2016. [https://doi.org/10.14801/jkiit.2016.14.4.25]
  • D. E. Carlucci and S. S. Jacobson, "Ballistics: Theory and Design of Guns and Ammunition", Boca Raton, FL, USA: CRC Press, 2008.
  • P. Elek, S. Jaramaz, D. Micković, and N. Miloradović, "Numerical simulation of fragmentation warhead mechanisms", Conference on Ballistics, University of Belgrade, Serbia, pp. 229-234, Oct. 2014.
  • O. Alameri and P. Elek, "Efficiency Analysis of Fragmentation Warheads Through Advanced Modeling Techniques: Experimental and Numerical Study", Shock and Vibration, Vol. 2024, No. 1, pp. 3288510, Oct. 2024. [https://doi.org/10.1155/2024/3288510]
  • J. Starkenberg, K. J. Benjamin, and R. B. Frey, "Predicting Fragmentation Propagation Probabilities for Ammunition Stacks", ARL-TR-949, U.S. Army Research Laboratory, Aberdeen Proving Ground, MD, Janu. 1996.
  • R. W. Gurney, "The initial velocities of fragments from bombs, shells, grenades", Ballistic Research Laboratories, Aberdeen Proving Ground, MD, USA, BRL Report No. 405, 1943. [https://doi.org/10.21236/ADA289704]
저자소개
김 송 현 (Songhyon Kim)

2005년 2월 : 한국과학기술원 전산학과(공학석사)

2013년 2월 : 한국과학기술원 전산학과(공학박사)

2022년 7월 ~ 2023년 7월: 美 콜로라도대(덴버) 방문학자

2005년 2월 ~ 현재 : 공군사관학교 컴퓨터과학과 교수

관심분야 : 빅데이터 처리, IoT, 컴퓨터 비전, 분산 컴퓨팅

이 문 식 (Moon-Shik Lee)

1995년 3월 : 공군사관학교 기계공학과(학사)

2001년 2월 : 서울대학교 수리과학부(학사)

2004년 2월 : 서울대학교 수리과학부(석사)

2010년 2월 : 서울대학교 수리과학부(박사)

2010년 2월 ~ 현재 : 공군사관학교 수학과 교수

관심분야 : 정보보호, 암호학, 국방정책

강 순 부 (Sunbu Kang)

1989년 3월 : 공군사관학교 기계공학과(공학사)

1996년 3월 : 서울대학교 수학과(이학사)

1999년 3월 : 포항공과대학교 수학과(이학석사)

2004년 8월 : 포항공과대학교 수학과(이학박사)

1999년 3월 ~ 2020년 3월 : 공군사관학교 수학과 교수

2024년 4월 ~ 현재 : 국방무기체계분석연구소 연구본부장

관심분야 : 생존성(취약성) 분석, ORD 연구, Link-16/22 사업분석

이 길 영 (Gil-Young Lee)

1997년 3월 : 공군사관학교 전자공학과(공학사)

2004년 2월 : 서울대 대학원 전기컴퓨터공학부(공학석사)

2012년 3월 : 美 Ohio 주립대 전기컴퓨터공학부(공학박사)

2018년 7월 ~ 2020년 6월 : 美 공군사관학교 전기컴퓨터공학부 교환교수

2007년 6월 ~ 현재 : 공군사관학교 전자통신공학과 교수

관심분야 : 항공전자 시스템, 전자전 시스템, 레이다 시스템, 안테나 설계 및 측정, 전파환경 분석

Fig. 1.

Fig. 1.
Fragment placement flowchart (a) Warhead coordinates (b) Initial fragment placement calculation (along the X-axis and in the Y-Z plane) (c) Adjustment of placement by truncating decimal values (d) Final refinement of fragment distribution

Fig. 2.

Fig. 2.
Fragment data format (AVAL)

Fig. 3.

Fig. 3.
Spray angle, elevation angle, and azimuth angle (a) Spray angle α, radiation angle θ (b) Azimuth angle ϕ

Fig. 4.

Fig. 4.
Fragment placement results of virtual warheads

Fig. 5.

Fig. 5.
UI comparison: Random vs. Proposed

Fig. 6.

Fig. 6.
Positions of fragments placed on warhead surfaces

Fig. 7.

Fig. 7.
Fragment launch direction vectors of W-4 (a) Along the X-axis (b) Radiation angle heatmap

Fig. 8.

Fig. 8.
Visualization of the AVAL simulation (a) Front (b) Right (c) Left (d) Rear

Algorithm 1.

Placement of fragments

[input] L: warhead length
         D: warhead diameter
         N: total number of fragments
[output] Lf: edge length of a fragment
          Nh: number of layers in the height (X-axis) direction
          Nw: number of fragments in the width (Y-Z axis) direction
          ΔN: number of fragments requiring adjustment
1: A = calculate_warhead_surface(L,D)
2: Lf = calculate_fragment_size(A,N)
3: Nh,Nw = calculate_initial_fragment_placement (L,D,Lf)
4: Nh,Nw = convert_integer(Nh,Nw,N)
5: ΔN = finalize_adjustment(Nh,Nw,N)
6: return Lf,Nh,Nw,ΔN

Algorithm 2.

Data generation of fragments

[input] L: warhead length
         D: warhead diameter
         N: number of fragments
         Nh: number of layers
         Nw: number of fragments in layer
         ΔN: number of fragments requiring adjustment
          α: spray angle range
          Cx: X-axis calibration
          v,m,lref: velocity, mass, reference length
[output] S: data file
01: Niwi=0Nh-1 = adjust_fragment_each_layer(Nh,Nw,ΔN, N)
02: For i = 0 to Nh - 1:
03:   x = (i + 0.5) × (L / Nh) + Cx
04:   θ= (90 + α) – (2α × i) / (Nh – 1)
05:   For j = 0 to (Niw – 1):
06:     ϕ = 2π × j / Niw
07:     pos = [x, (D/2)cosϕ, (D/2)/sinϕ]
08:     dir = [cosθ, sinθcosϕ, sinθsinϕ]
09:     S.append(pos, dir, v, m, lref)
10: return S

Table 1.

Warhead specifications

Category W-1 W-2 W-3 W-4
Warhead length (m) 0.81 0.16 0.35 0.29
Warhead diameter (m) 0.50 0.07 0.23 0.17
Total number of fragments 8,000 775 1,998 1,162
Fragment mass (kg) 0.010685 0.000731 0.007659 0.002864
Fragment velocity (m/s) 1,966 1,637 2,081 2,252
Spray angle (°) ±20 ±15 ±10 ±10
X-axis correction value (m) -2.21 -0.519 -2.456 -1.42

Table 2.

Results of the fragment placement phase

Weapon W-1 W-2 W-3 W-4
Fragment edge length (Lf, m) 0.012566 0.006664 0.011116 0.011363
Number of layers in the X-direction(Nh) 64 24 31 25
Number of fragments in the Y-Z plane(Nw) 125 33 65 47
Fine-tuning of fragment placement(ΔN) No adjustment required 17 fragments removed 17 fragments removed 13 fragments removed

Table 3.

Uniformity Index for each threat weapon

Weapon W-1 W-2 W-3 W-4
Mean 3-NN distance(d-3, m) 0.012501 0.007019 0.011353 0.011290
Standard deviation
(σ(3), m)
0.000046 0.000320 0.000218 0.000177
Uniformity index
(UI(3))
0.003718 0.045607 0.019243 0.015671